
-
生物通官微
陪你抓住生命科技
跳动的脉搏
植物生长调节剂(MT和BR)缓解盐胁迫对芒果树的负面影响及其生理机制研究
【字体: 大 中 小 】 时间:2025年07月13日 来源:Journal of Soil Science and Plant Nutrition 3.4
编辑推荐:
为解决盐胁迫对芒果(Mangifera indica)生长和产量的负面影响,Ain Shams University的研究团队通过外源喷施褪黑素(MT)和油菜素内酯(BR)(浓度0.025-0.1 mM),系统评估了其对Naomi芒果品种的生理调控作用。结果表明,0.05-0.1 mM MT和0.05 mM BR显著提升叶片抗氧化酶(PPO/POD)活性、渗透调节物质(脯氨酸)积累及K+/Na+平衡,最终使果实产量提高142%,可溶性固形物(TSS)增加18.6%。该研究为盐渍化果园的芒果栽培提供了可操作的化学调控方案。
在全球气候变化和灌溉水盐渍化的背景下,盐胁迫已成为威胁热带水果产业可持续发展的关键因素。作为世界第六大水果作物,芒果(Mangifera indica)对盐分极其敏感,当土壤电导率(EC)超过3.4 dS m-1时,其叶片会出现典型的钠离子(Na+)毒害症状——叶缘焦枯、光合效率下降,最终导致果实产量锐减30-50%。更棘手的是,传统育种手段培育耐盐品种周期长,而工程改良又面临公众接受度问题。如何通过农艺措施快速提升芒果耐盐性,成为埃及等灌溉农业区亟待解决的产业难题。
针对这一挑战,埃及艾因夏姆斯大学(Ain Shams University)园艺系的研究团队独辟蹊径,将目光投向两种天然植物生长调节剂——动物激素衍生物褪黑素(Melatonin, MT)和植物甾醇类激素油菜素内酯(Brassinosteroid, BR)。这两种物质此前分别在抗氧化应激和细胞伸长调控中展现出惊人潜力,但它们在木本果树盐胁迫协同调控中的效果仍是空白。研究人员以五年生Naomi芒果嫁接苗为材料,在电导率达3.40 dS m-1的盐渍化砂壤中展开为期两年的田间试验,相关成果发表在《Journal of Soil Science and Plant Nutrition》上。
关键技术方法
研究采用完全随机区组设计,设置MT(0.025/0.05/0.1 mM)和BR(同前)共6个处理组及空白对照,每组5次重复。通过Minolta SPAD-502测定叶绿素相对含量,紫外分光光度法检测抗氧化酶(PPO/POD)活性及脯氨酸积累,火焰光度计分析叶片K+/Na+比值,并系统评估果实产量与品质参数(可溶性固形物TSS、酸度TA等)。
主要研究结果
1. vegetative growth
0.1 mM MT处理使新梢数量激增142%(25.0 vs 10.3条/树),叶面积扩大25.3%,SPAD值(反映叶绿素密度)提升18.6%。值得注意的是,BR在0.05 mM时表现出"低浓度增效"现象,其叶面积增幅达45.3%,但浓度升至0.1 mM时效果反降,暗示BR存在剂量依赖性。
2. leaf pigments
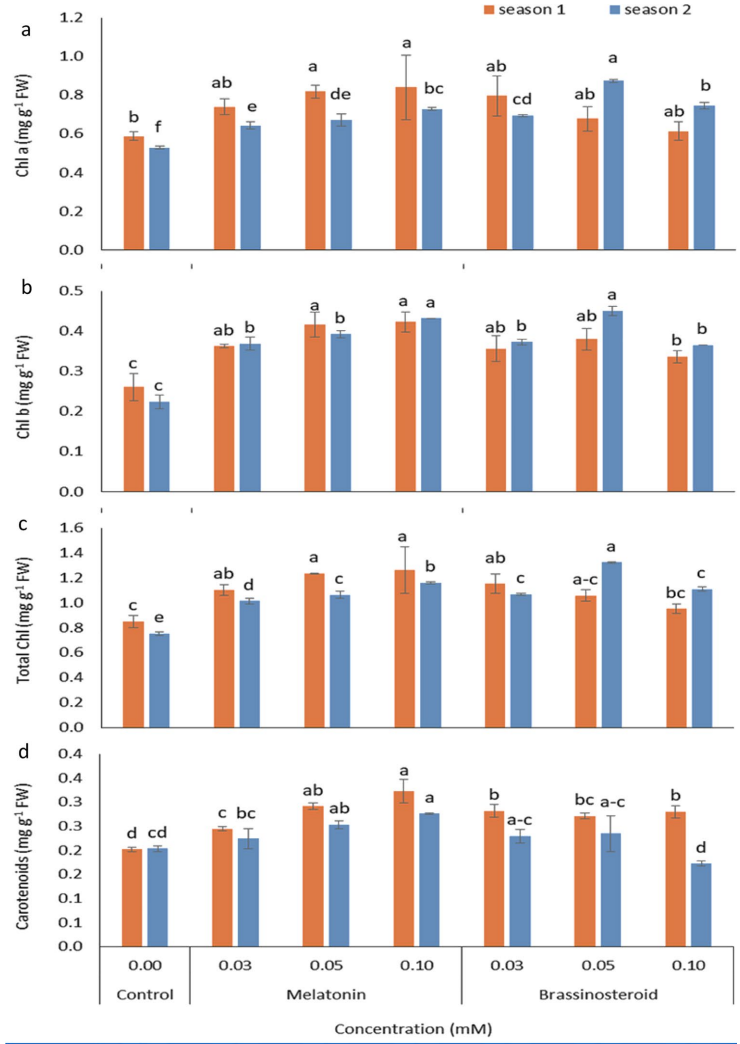
盐胁迫导致对照组总叶绿素暴跌至0.85 mg/g FW,而0.05 mM MT处理使其回升至1.52 mg/g FW(图1c)。类胡萝卜素作为光保护物质,在0.1 mM BR组增加35%,这可能是其缓解光抑制的关键机制。

3. tree productivity
0.1 mM MT使单株果实数从15个飙升至26个,产量增幅达103%(图2c)。有趣的是,0.05 mM BR虽未显著增加单果重,但通过提高坐果率使产量提升56%,显示两种调节剂的作用靶点可能存在差异。
4. oxidative stress markers
盐胁迫诱导的活性氧(ROS)被0.1 mM MT显著抑制——PPO和POD酶活性分别提高2.3倍和1.8倍(图6a,b),脯氨酸积累量达对照的3倍(图6c)。这种"抗氧化屏障"的建立,可能是MT处理组叶片保持翠绿的关键。
结论与意义
该研究首次证实:在盐渍化条件下,叶面喷施50-100 μM MT或50 μM BR可通过三重机制保护芒果树——(1)激活PPO/POD抗氧化系统清除ROS;(2)提升脯氨酸等渗透调节物质;(3)选择性促进K+吸收(增加29.6%)同时抑制Na+转运(降低38.5%)。这种"化学 priming"技术操作简便,每季仅需5次喷施即可使产量翻倍,且果实TSS/TA比值提升21%,为盐碱地芒果栽培提供了"立竿见影"的解决方案。未来研究可进一步解析MT-BR交叉调控的分子通路,并探索其在其他盐敏感果树中的应用潜力。
生物通微信公众号
知名企业招聘