
-
生物通官微
陪你抓住生命科技
跳动的脉搏
基于裙带菜源藻酸盐微球的高效生物吸附去除结晶紫染料研究及其环境应用价值
【字体: 大 中 小 】 时间:2025年07月13日 来源:Scientific Reports 3.8
编辑推荐:
本研究针对纺织废水中有毒结晶紫(CV)染料的污染问题,开发了从裙带菜(Padina pavonica)提取的钙化藻酸盐微球作为新型生物吸附剂。通过优化pH(6)、吸附剂剂量(70 mg/25 mL)和接触时间(5 h)等参数,实现了93.9%的CV去除率。动力学和等温线研究表明该过程符合准二级动力学模型和Freundlich多层吸附模型,FTIR和SEM证实了羧基等官能团在化学吸附中的关键作用。该生物材料成本低廉、环境友好,为工业染料废水处理提供了可持续解决方案。论文发表于《Scientific Reports》。
纺织工业排放的染料废水对生态环境构成严峻挑战,其中三苯甲烷类结晶紫(Crystal Violet, CV)染料因其致癌性、致突变性和对水生生物的光合抑制作用备受关注。传统处理方法如活性炭吸附成本高昂,化学氧化可能产生二次污染。面对这一环境治理难题,曼苏拉大学理学院植物系的研究团队创新性地利用海洋褐藻裙带菜(Padina pavonica)提取的藻酸盐,开发出高效环保的生物吸附剂,相关成果发表在《Scientific Reports》上。
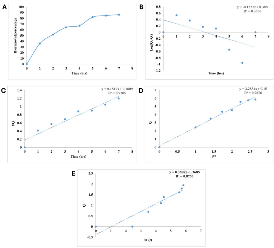
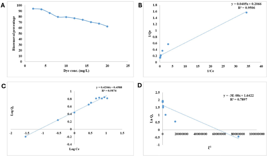
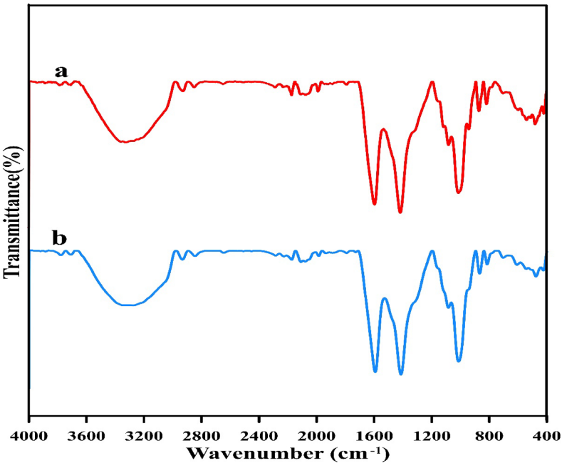
研究采用2%海藻酸钠溶液与3% CaCl2交联制备微球,通过单因素实验优化了pH(4-11)、接触时间(1-7 h)、吸附剂剂量(28-140 mg)和初始CV浓度(2-20 mg L-1)等参数。采用FTIR和SEM对材料进行表征,结合伪一级/伪二级动力学、Langmuir/Freundlich等温线模型分析吸附机制。零电位点(pHpzc=9)测试揭示了表面电荷特性,通过Elovich模型和Weber-Morris颗粒内扩散模型探讨了吸附动力学特征。
零电位点
研究发现藻酸盐微球的零电位点为pH 9,表明在pH<6的优化条件下,尽管表面带正电,仍通过π-π堆积和氢键等非静电作用实现高效吸附,突破了传统静电吸附理论的局限。
初始pH影响

动力学特征

吸附剂剂量

等温线研究

材料表征

该研究证实裙带菜源藻酸盐微球对CV染料具有卓越的去除能力,其最大吸附量达4.084 mg g-1(Langmuir模型)。相较于传统吸附剂,这种生物材料具有三大优势:(1)原料来自可再生海藻资源;(2)制备过程无需复杂化学修饰;(3)吸附后无二次污染。研究不仅为纺织废水处理提供了经济高效的解决方案,更开创了将海藻副产品转化为高附加值环境材料的新思路。未来研究可进一步探索该材料在实际工业废水中的规模化应用潜力,以及其对其他类型染料的普适性去除效果。
生物通微信公众号
知名企业招聘