
-
生物通官微
陪你抓住生命科技
跳动的脉搏
HBV与酒精相关慢加急性肝衰竭的临床差异:基于WGO分型的多中心研究揭示分层管理新策略
【字体: 大 中 小 】 时间:2025年07月14日 来源:Scientific Reports 3.8
编辑推荐:
本研究针对HBV和酒精相关慢加急性肝衰竭(ACLF)的临床差异,通过WGO分型系统开展多中心回顾性研究。研究人员比较了659例HBV-ACLF和296例酒精-ACLF患者的临床特征,发现酒精组表现为更高系统性炎症(白细胞增多、中性粒细胞升高)和肝外器官衰竭(P<0.05),而HBV组以急性肝细胞损伤(ALT/AST升高)为主。研究首次证实CLIF-C ACLF和COSSH-ACLF II评分对C型(失代偿期肝硬化)患者预后预测优于MELD评分(AUROC 0.758 vs 0.690),为ACLF的病因分层管理提供了循证依据。
肝脏作为人体最重要的代谢器官,一旦发生功能衰竭将危及生命。慢加急性肝衰竭(ACLF)正是这样一种凶险的临床综合征——慢性肝病患者在急性诱因作用下,肝功能急剧恶化并伴随多器官衰竭,死亡率高达45%以上。令人困扰的是,这种疾病在东西方呈现出截然不同的面貌:在乙肝高发的中国,乙型肝炎病毒(HBV)是主要元凶;而在西方,酒精性肝病则占据主导。这种地域差异导致全球对ACLF的诊断标准长期无法统一,世界胃肠病学组织(WGO)提出的A/B/C分型虽试图弥合分歧,但不同病因ACLF的临床特征差异仍缺乏系统研究。
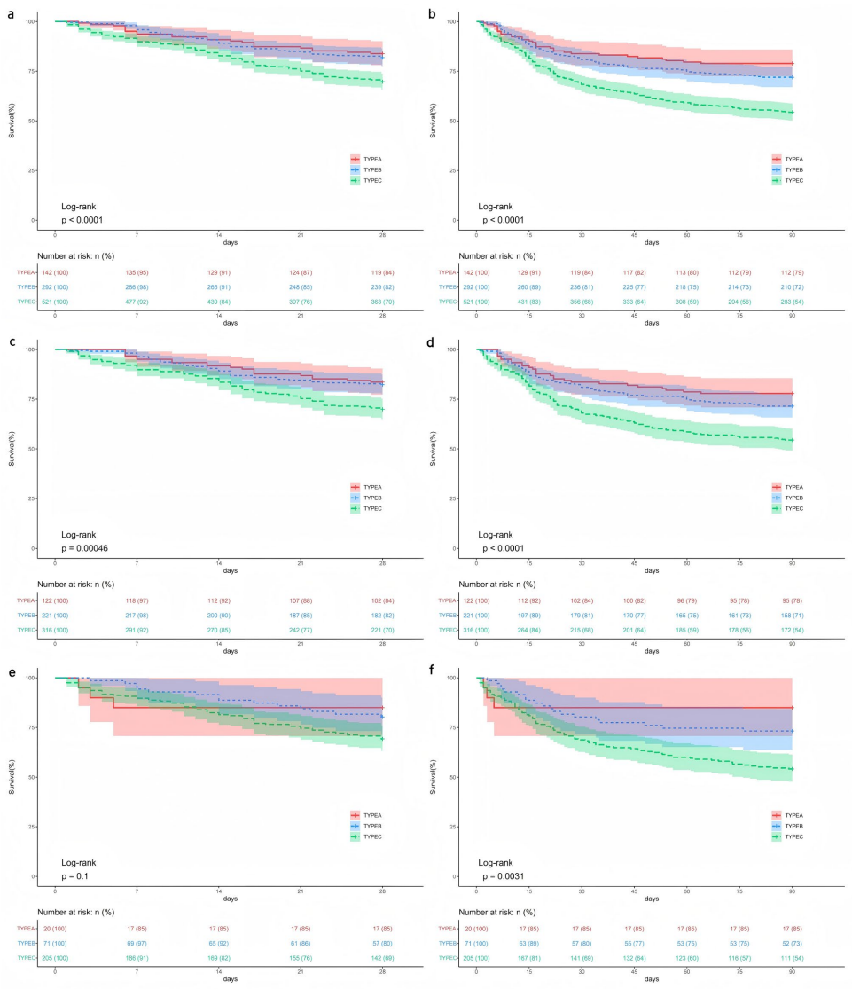
为解决这一临床难题,南开大学附属第一医院(天津市中西医结合医院)肝胆病研究所联合解放军总医院第五医学中心等6家医疗中心,开展了一项跨越12年(2008-2019)的多中心回顾性研究。研究人员严格筛选955例ACLF患者(HBV相关659例,酒精相关296例),按WGO标准分为A型(无肝硬化)、B型(代偿期肝硬化)和C型(失代偿期肝硬化),系统比较不同病因ACLF的临床特征差异。这项发表在《Scientific Reports》的重要研究首次揭示了病因与慢性肝病严重程度的交互作用如何塑造ACLF的疾病表型。
研究采用标准化数据采集流程,通过电子病历系统回溯性收集患者的人口学特征、实验室指标(包括WBC、N%、ALT、AST等)、并发症(腹水、肝性脑病等)和器官衰竭数据。应用CLIF-C ACLF、COSSH-ACLF II、MELD和MELD-Na四种评分系统评估疾病严重程度,采用Cox回归模型分析预后因素,并通过ROC曲线比较不同评分系统的预测效能。
临床特征比较
酒精相关ACLF展现出独特的"炎症-感染-多器官衰竭"三联征:白细胞计数(8.88 vs 6.35×109/L)和中性粒细胞比例(78.8% vs 71.3%)显著高于HBV组(P<0.001),细菌感染发生率高达73.31%(vs 56.15%),更易发生肾衰竭(15.54% vs 4.25%)、脑衰竭(12.16% vs 6.22%)等多器官功能衰竭(MEHOF 21.96% vs 10.93%)。而HBV相关ACLF则表现为典型的肝细胞损伤模式:ALT(210 vs 39 U/L)和AST(191.1 vs 80 U/L)显著升高(P<0.001),MELD评分更高(23.46 vs 17.52)。
WGO分型分层分析
在C型患者中,这种差异最为显著:酒精组呈现"低蛋白-高感染"特征(Alb 26 g/L,感染率78.54%),HBV组则保持"高转氨酶"特点(ALT 157.5 U/L)。值得注意的是,尽管临床特征迥异,两组的90天死亡率却惊人地一致(45.57% vs 45.85%),提示器官衰竭负担而非病因本身决定预后。
预后评估突破
研究最重要的发现是CLIF-C ACLF和COSSH-ACLF II评分对C型患者的预测优势:在预测28天死亡率时,CLIF-C ACLF的AUROC(0.758)显著优于MELD(0.690)和MELD-Na(0.678)(P<0.05)。多因素分析显示,脑衰竭(HR 1.67)、消化道出血(HR 1.92)和CLIF-C ACLF评分(HR 1.09)是独立危险因素。
这项研究首次通过大样本数据验证了WGO分型的临床价值,揭示了ACLF作为一种异质性疾病,其临床表现和预后受到病因和慢性肝病基础的双重影响。特别是发现CLIF-C ACLF评分对失代偿期肝硬化患者的预测优势,为临床决策提供了重要工具。研究强调需要建立"病因-分型"双维度的精准治疗策略:HBV相关ACLF应侧重抗病毒和肝支持治疗,而酒精相关ACLF则需强化抗感染和多器官保护。这些发现不仅弥合了东西方诊断标准的分歧,更为国际ACLF诊疗指南的更新提供了来自中国的高质量证据。



生物通微信公众号
知名企业招聘