
-
生物通官微
陪你抓住生命科技
跳动的脉搏
表观遗传时钟预测试管婴儿活产率:生物年龄或成生育潜能新指标
【字体: 大 中 小 】 时间:2025年07月15日 来源:Reproductive Biology and Endocrinology 4.2
编辑推荐:
为解决传统卵巢储备指标(如AMH、AFC)难以精准预测IVF活产率的问题,意大利米兰大学团队开展前瞻性队列研究,首次发现表观遗传年龄(DNAm Age)可独立于卵巢储备预测试管婴儿成功率。通过对379名女性血液样本的DNA甲基化(DNAm)分析(基于焦磷酸测序的简化表观遗传时钟模型),研究人员证实DNAm Age较低的女性活产率更高(adj.OR=0.91/年,p<0.001),尤其在31-35岁人群中预测效能最优(AUC=0.637)。该研究为开发生育特异性表观遗传模型奠定基础,有望优化个体化生殖诊疗策略。
全球约1.86亿人受不孕症困扰,尽管辅助生殖技术(ART)不断进步,试管婴儿(IVF)活产率(LBR)仍不足35%,且随女性年龄增长显著下降。传统指标如抗缪勒管激素(AMH)和窦卵泡计数(AFC)主要反映卵泡数量,却难以评估卵母细胞质量这一影响IVF成功的关键因素。表观遗传时钟——通过DNA甲基化(DNAm)模式量化生物年龄的算法——在衰老研究中展现出突破性价值,但其在生殖领域的应用尚未成熟。此前小规模研究提示,表观遗传年龄可能与ART结局相关,但缺乏大样本验证。
米兰大学附属医院(Fondazione IRCCS Ca' Granda Ospedale Maggiore Policlinico)领衔的前瞻性研究纳入379名首次接受IVF治疗的女性,采集外周血提取白细胞基因组DNA,采用简化表观遗传时钟模型("Zbiec-Piekarska2"算法),通过焦磷酸测序(pyrosequencing)分析ELOVL2、C1orf132、TRIM59、KLF14、FHL2基因的5个CpG位点甲基化水平,计算表观遗传年龄(DNAm Age)和表观遗传年龄加速(EPA)。主要终点为累计活产率(包含冻存胚胎移植),通过多变量逻辑回归、ROC曲线等评估预测效能,并与AMH、AFC等传统指标对比。
表观遗传年龄与活产率独立相关
成功活产组(n=204)的DNAm Age显著低于未成功组(36±5岁 vs. 39±5岁,p<0.001)。校正AFC、BMI等因素后,DNAm Age每增加1年,活产概率下降9%(adj.OR=0.91,95%CI:0.87-0.96),提示其预测价值独立于卵巢储备功能。
年龄分层揭示最佳预测窗口
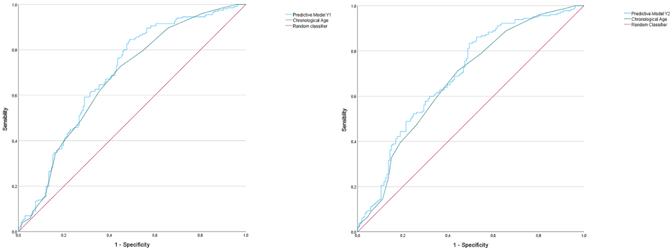
在31-35岁女性中,DNAm Age和EPA的预测效能(AUC=0.637)优于传统指标(AMH-AUC=0.573;AFC-AUC=0.550),而≤30岁组以AFC最佳(AUC=0.607),≥40岁组以实际年龄最优(AUC=0.625)。
多参数模型提升预测精度
整合表观遗传年龄加速(EPA)、实际年龄和AFC的预测模型Y1(公式:Y1=5.300–0.149×年龄–0.043×EPA+0.021×AFC)将预测AUC提升至0.692,较单一实际年龄模型(AUC=0.672)更具临床潜力。

该研究首次在大样本IVF队列中验证表观遗传时钟的临床价值:DNAm Age可捕捉传统指标无法反映的生殖系统衰老,尤其为31-35岁女性提供更精准的生育力评估工具。局限性包括:(1)简化时钟模型(仅5个CpG位点)未针对生殖系统优化;(2)外周血甲基化可能无法完全反映卵巢老化;(3)不孕病因异质性影响亚组分析效能。未来需开发生育特异性表观遗传模型,通过全基因组甲基化筛选卵巢衰老关键位点,推动IVF个体化诊疗。
论文发表于《Reproductive Biology and Endocrinology》(2025),为优化辅助生殖技术预后评估开辟新路径。
生物通微信公众号
知名企业招聘