
-
生物通官微
陪你抓住生命科技
跳动的脉搏
麦司卡林人体药代动力学-药效学关系揭秘:首过代谢与肾清除的关键作用
【字体: 大 中 小 】 时间:2025年07月15日 来源:Clinical Pharmacokinetics 4.6
编辑推荐:
为解决经典致幻剂麦司卡林(mescaline)临床药理学数据缺失的问题,瑞士巴塞尔大学医院团队开展首项系统研究。通过105次单剂量给药(100-800 mg)的建模分析,首次揭示其剂量线性药动学特征:口服生物利用度≥53%(受限于首过代谢为TMPAA),血浆半衰期3.5小时,53%原型药物经肾排泄。研究建立的一室模型(含滞后时间tlag)和效应室模型(ke0参数)精准预测主观效应强度,为优化给药方案(尤其肾功能受损者)提供关键依据。成果发表于《Clinical Pharmacokinetics》。
在经典致幻剂家族中,麦司卡林(mescaline)虽历史悠久却长期缺乏现代药理学研究。相较于Psilocybin(裸盖菇素)和LSD(麦角酸二乙酰胺),其5-HT2A受体亲和力低、口服剂量需高达800 mg才能诱导完全致幻体验,这种高剂量需求背后的药代动力学机制一直成谜。更关键的是,其代谢途径、生物利用度及排泄机制从未被系统量化,严重阻碍了临床转化应用——例如肾功能不全患者的剂量调整缺乏依据。
为填补这一空白,瑞士巴塞尔大学医院(University Hospital Basel)和巴塞尔大学(University of Basel)的研究团队整合两项I期临床试验数据,首次构建了麦司卡林的人体药代动力学(PK)-药效动力学(PD)模型。他们采用一室模型结合滞后时间(tlag)描述血浆浓度变化,并通过效应室模型(含平衡速率常数ke0)量化主观效应滞后性;利用非房室分析(NCA)计算药动学参数,采用视觉模拟量表(VAS)评估"药物效应强度"等主观指标;同时通过24-30小时尿样采集及高效液相色谱-串联质谱(HPLC-MS/MS)技术定量原型药物与代谢物。研究最终揭示:口服生物利用度至少53%,首过代谢生成主要无活性产物TMPAA(占剂量31%),肾排泄为两者主要消除途径,且效应强度与血药浓度呈S型Emax关系。这项突破性成果发表于药理学顶级期刊《Clinical Pharmacokinetics》。
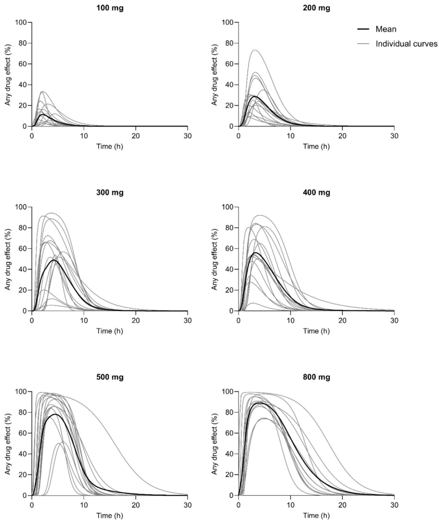
团队分析49名健康受试者(含25名女性)的105次给药数据,覆盖100-800 mg剂量范围。PK模型采用Phoenix WinNonlin软件进行个体化拟合,通过似然比检验优化参数(如增加tlag使59/105曲线拟合显著改善)。PD模型以VAS评分为指标,建立含效应室延迟的sigmoid Emax模型(ke0参数使74/91曲线拟合优化)。尿液分析量化mescaline、TMPAA及N-acetylmescaline(NAM)的24-30小时累积排泄量。
1. 尿回收率与代谢特征
53%剂量以原型经尿排泄,31%转化为TMPAA,NAM占比<10%
首过代谢解释TMPAA早期血药浓度与mescaline同步达峰现象

2. 剂量线性PK参数
达峰时间tmax:2.0小时(几何均值)
半衰期t1/2:3.5小时(所有剂量一致)
表观清除率Cl/F:42 L/h,肾清除率366 mL/min(提示肾小管主动分泌)
3. PK-PD模型预测效应
效应滞后常数ke0:1.7 h-1("任何药物效应"项)
效应强度与持续时间呈剂量依赖性:100 mg时最大效应13%持续2.8小时,800 mg时达89%持续15小时

本研究首次完整解析麦司卡林人体PK-PD特征:
代谢机制革新认知:明确首过代谢转化53%剂量为TMPAA,突破传统假设;肾排泄主导消除(原型药物53% + TMPAA 31%),提示肾功能不全者需调整剂量。
模型指导临床实践:一室模型(含tlag)和效应室模型(ke0)可精准预测不同剂量下的效应强度与持续时间,为临床试验设计提供计算基础。
致幻剂机制共性:效应滞后性(ke0)与5-HT2A激动剂LSD/Psilocybin一致,支持"血浆浓度-脑内受体占据-主观效应"的普适通路。
该研究不仅为致幻剂药理学补上关键拼图,更推动mescaline向抑郁症、物质成瘾等治疗领域转化。未来需在肾功能异常群体中验证模型,并探索静脉给药以精确量化绝对生物利用度。
生物通微信公众号
知名企业招聘