
-
生物通官微
陪你抓住生命科技
跳动的脉搏
"全血炎症指标PIV与SII在预测逆行肾内手术后感染并发症中的临床应用价值"
【字体: 大 中 小 】 时间:2025年07月15日 来源:BMC Urology 1.7
编辑推荐:
本研究针对逆行肾内手术(RIRS)后感染并发症的预测难题,通过分析658例患者的全血参数,首次证实泛免疫炎症值(PIV>500.2)和系统免疫炎症指数(SII>619.4)是预测术后发热和全身炎症反应综合征(SIRS)的强效生物标志物,结合Charlson合并症指数等风险因素构建的预测模型AUC达0.971,为临床术前风险评估提供了创新性解决方案。
尿路结石的微创治疗领域,逆行肾内手术(RIRS)以其创伤小、恢复快的优势成为10-20mm上尿路结石的首选方案。然而术后5-25%的感染并发症发生率始终是困扰临床的难题,特别是当患者术前尿培养阴性时,传统预测手段往往失效。这种困境背后,隐藏着两个关键科学问题:如何量化患者个体化的免疫应答状态?能否建立多参数协同的精准预测体系?
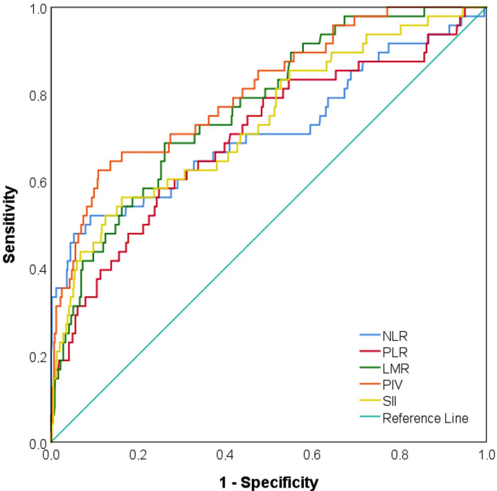
为解决这些问题,阿德亚曼大学医学院泌尿外科的Bedreddin Kalyenci团队开展了一项历时8年(2016-2024)的大规模回顾性研究。研究人员创新性地将肿瘤预后领域新兴的泛免疫炎症值(Pan-Immune Inflammation Value, PIV)和系统免疫炎症指数(Systemic Immune-Inflammation Index, SII)引入泌尿外科领域,通过对658例RIRS患者的临床数据分析,揭示了这些血液参数与术后感染的强相关性。研究发现,当PIV>500.2时,患者发生感染并发症的风险骤增13.7倍(95%CI:7.260-25.994),这一发现为术前风险评估提供了客观量化工具。
研究采用多中心回顾性队列设计,严格筛选2016-2024年间接受RIRS治疗的成年患者。关键技术方法包括:1)通过术前10天内血常规计算NLR、PLR、LMR、PIV和SII等炎症指标;2)采用ROC曲线确定各指标最佳截断值;3)构建包含Charlson合并症指数、结石体积等变量的多因素logistic回归模型;4)开发可视化预测列线图。
研究结果
炎症指标的预测效能
研究发现感染组(48例)的PIV中位数显著高于非感染组(531.7 vs 338.2,p<0.001)。ROC分析显示PIV的AUC达0.807(95%CI:0.739-0.874),优于传统指标NLR(AUC=0.714)。当PIV>500.2时,其阴性预测值高达96.8%,意味着该指标可有效排除低风险患者。

多因素预测模型
模型1整合PIV与临床变量后预测效能显著提升(Cox & Snell R2=0.269)。其中Charlson指数每增加1分风险增加5.9倍(95%CI:3.790-9.329),而结石体积每增加100mm3风险上升7.5%(OR=1.075)。该模型列线图可直观计算个体化风险概率,如70岁糖尿病患者(PIV=550)的感染风险达38.6%。
临床危险因素
术前留置双J管使感染风险增加3.7倍(95%CI:1.215-11.520),而合并糖尿病风险更高达17.9倍(9.219-34.590)。值得注意的是,手术时间与感染无显著相关性(p=0.673),提示患者基础状况比操作时长更具预测价值。
这项发表在《BMC Urology》的研究具有三重突破意义:首次验证PIV/SII在RIRS领域的预测价值;创建首个整合免疫参数与临床特征的预测模型;为术前预防性抗生素使用提供决策依据。特别是PIV指标,通过同时评估中性粒细胞、血小板、单核细胞和淋巴细胞的多维度相互作用,比传统单一参数更能反映机体免疫稳态状态。这些发现将有助于临床医生在术前精准识别高风险患者,优化围手术期管理策略,最终降低感染相关死亡率。未来研究可进一步探索这些指标与结石微生物组、内毒素水平的关联机制。
生物通微信公众号
知名企业招聘