
-
生物通官微
陪你抓住生命科技
跳动的脉搏
基于专利数据的中国城市间价值共创与技术转移时空地理网络研究
【字体: 大 中 小 】 时间:2025年07月15日 来源:Scientific Data 5.8
编辑推荐:
本研究通过分析中国国家知识产权局超过123万件价值共创专利和142万件技术转移专利,构建了城市价值共创知识网络(UKN-C)和城市技术转移知识网络(UKN-T),揭示了2011-2021年中国城市间知识流动的时空分布特征。研究人员采用地图匹配算法将专利数据与地理信息关联,发现东部发达城市在网络中占据核心地位,且COVID-19疫情显著影响了跨区域创新合作。该数据集为研究区域创新系统提供了重要基础,对制定科技政策具有参考价值。
在全球化快速发展的背景下,技术创新日益依赖跨区域、跨领域的协作。然而,如何量化城市间的知识流动、识别创新网络的空间格局,一直是区域经济学和创新地理学面临的难题。传统研究多采用区域研发投入或科研人员数量等间接指标,难以精确刻画城市间的知识联系。随着中国专利数量的爆发式增长(2011年后年均百万级申请量),专利数据为研究这一问题提供了全新视角。
哈尔滨工程大学的研究团队在《Scientific Data》发表的研究中,创新性地利用中国国家知识产权局(CNIPA)2011-2021年的265万条专利记录,构建了两个具有时空维度的城市知识网络:以联合专利申请衡量的城市价值共创网络(UKN-C),和以专利转让衡量的技术转移网络(UKN-T)。研究发现,这两个网络不仅揭示了中国城市创新合作的"东部隆起"现象,还捕捉到COVID-19疫情对创新网络的冲击效应。
研究采用三个关键技术方法:(1)通过CNIPA数据库获取原始专利数据,筛选包含多申请人的价值共创专利和包含转让记录的技术转移专利;(2)调用百度地图API进行地理编码,将申请人/转让方匹配到地级市空间单元;(3)构建加权网络模型,其中UKN-C为无向网络(边权=联合专利数),UKN-T为有向网络(边权=技术转移量)。
【网络总体特征】
分析显示两个网络均呈现"核心-边缘"结构。2011-2021年间,UKN-C的边数从3,457条增至7,892条,网络密度由0.004升至0.007,表明城市间创新合作持续深化。值得注意的是,2020年COVID-19疫情导致网络指标明显下滑,验证了外部冲击对创新协作的影响。
【空间关联架构】
UKN-C网络(图4a-c)呈现"东密西疏"的分布,北京-上海-广深构成核心三角;UKN-T网络(图4d-f)则显示技术主要从东部向中西部单向流动。随时间推移,中西部城市在网络中的参与度逐步提升,反映国家区域协调发展战略成效。
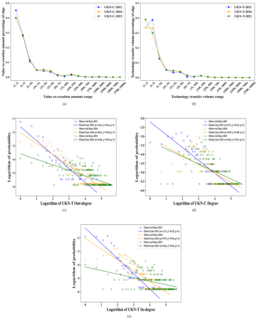
【节点度分布】

【空间分异格局】
UKN-C度数高值区(图6a-c)集中在长三角、珠三角和京津冀;UKN-T输出度数(图6d-f)显示东部城市技术辐射力强,而输入度数(图6g-i)揭示中西部城市技术依赖特征。
这项研究通过构建首个覆盖中国所有地级市的专利知识网络数据集,为理解区域创新系统提供了三个重要启示:首先,验证了创新活动存在显著的空间集聚效应,这与新经济地理学理论一致;其次,发现技术转移网络具有更明显的层级性,核心城市控制着关键技术扩散路径;最后,量化了突发公共事件(如COVID-19)对创新网络的冲击强度。数据集已通过figshare平台开放获取(DOI:10.6084/m9.figshare.29401934.v1),可为区域创新政策制定、城市群协同发展研究提供基准数据。未来研究可结合企业微观数据,进一步解析网络形成的内在机制。
生物通微信公众号
知名企业招聘