
-
生物通官微
陪你抓住生命科技
跳动的脉搏
丛枝菌根真菌与枯草芽孢杆菌共接种促进低磷条件下玉米生长及养分吸收的协同效应研究
【字体: 大 中 小 】 时间:2025年07月16日 来源:Scientific Reports 3.8
编辑推荐:
本研究针对热带土壤磷固定严重、化学磷肥利用率低的问题,通过温室实验探究丛枝菌根真菌(AMF)与枯草芽孢杆菌(B. subtilis)单独及共接种对玉米生长的影响。结果表明,Rhizophagus clarus和Claroideoglomus etunicatum与B. subtilis共接种显著提升根系形态指标(根长增加300%)、生物量(地上部干重提升680%)及磷吸收效率(PUE提高1700%),为减少磷肥依赖提供了微生物解决方案。
研究背景与意义
全球人口增长对粮食产量的需求持续攀升,导致化学肥料尤其是磷肥的过度使用。热带土壤中磷(P)易被铁铝氧化物固定,传统施肥方式下仅15-20%能被作物吸收,既造成资源浪费又引发水体富营养化。丛枝菌根真菌(AMF)作为植物根系"天然延伸网络",能通过分泌有机酸和扩大吸收面积提升磷获取效率;而枯草芽孢杆菌(B. subtilis)则通过产生吲哚-3-乙酸(IAA)和铁载体促进磷活化。巴西皮奥伊联邦大学的研究团队创新性地将两类微生物联用,探索其在减磷施肥条件下的协同机制。
关键技术方法
研究采用8×3析因设计(8种接种处理×3个磷水平),在温室中培育玉米55天。通过显微网格法测定菌根定殖率,RhizoVision软件分析根系构型,分光光度法检测光合色素,Bradford法量化土壤蛋白(SPRG-EE),并结合原子吸收光谱测定营养元素积累。
研究结果
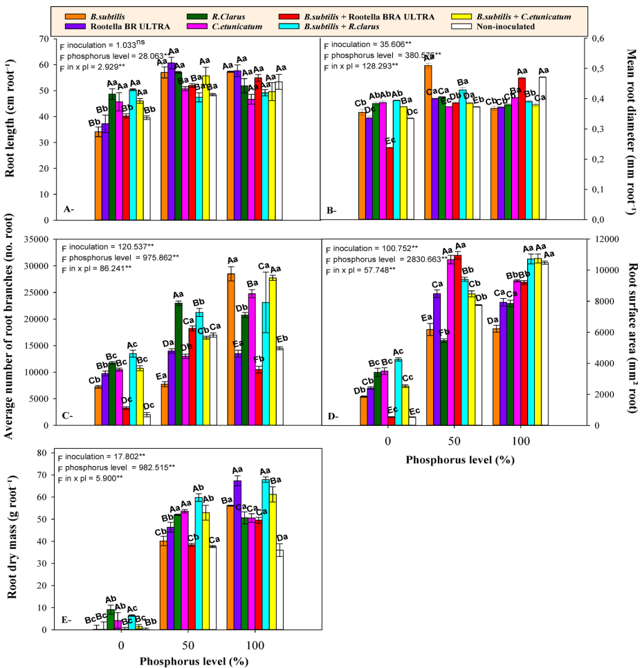
1. 菌根定殖与土壤蛋白

无磷条件下,R. clarus和C. etunicatum单独接种时菌丝定殖率达45%,而100%磷水平使定殖率降低50%。共接种处理显著提升土壤蛋白含量(B. subtilis+R. clarus处理提升200%),表明微生物协同作用增强土壤碳储存。
2. 根系构型与生物量

在零磷条件下,B. subtilis+C. etunicatum使根干重暴增30倍,根表面积扩大5.8倍。地上部干重增幅达680%,远超单独接种效果(AMF单独处理增幅300-400%)。
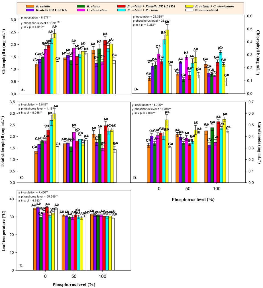
3. 光合与磷利用

共接种处理使叶绿素a含量提升2.1倍,叶片温度降低2.3°C。磷利用效率(PUE)在50%磷水平下达到峰值,B. subtilis+R. clarus处理较对照提高38%。
结论与展望
该研究首次揭示AMF与B. subtilis在低磷土壤中的协同增效机制:AMF通过扩大吸收网络获取固定态磷,B. subtilis则活化根际难溶性磷并刺激IAA分泌,双重作用使玉米在50%标准施磷量下仍保持高产。发表于《Scientific Reports》的这项成果,为热带地区玉米种植的减肥增效提供了可靠方案,下一步需开展大田试验验证菌剂稳定性。研究团队特别指出,C. etunicatum的商业化潜力值得关注,其促生效果优于商品化菌剂Rootella BR ULTRA。
生物通微信公众号
知名企业招聘