
-
生物通官微
陪你抓住生命科技
跳动的脉搏
子宫角度在体外受精治疗周期中的动态变化及其临床意义
【字体: 大 中 小 】 时间:2025年07月17日 来源:Scientific Reports 3.8
编辑推荐:
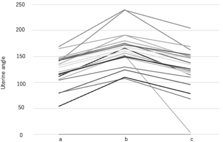
本研究聚焦不孕症治疗中的关键解剖学因素,通过前瞻性与回顾性队列分析揭示了子宫角度(uterocervical angle)在月经周期中的动态变化规律。日本山梨大学团队采用标准化经阴道超声测量技术,发现子宫角度在月经期和着床期呈现明显前倾(135.1°-136.8°),而在排卵期伸直(141.5°),这种周期性变化可能优化精子运输和胚胎植入。该发现为辅助生殖技术(ART)的子宫动力学研究提供了新视角。
在辅助生殖技术(ART)成功率长期徘徊在30%的背景下,子宫动力学研究成为突破瓶颈的新方向。传统研究多聚焦子宫内膜容受性和子宫蠕动,却忽视了子宫解剖学角度的潜在影响。日本山梨大学医学院妇产科研团队通过创新性的影像学分析,首次系统揭示了子宫角度在生理周期中的"波浪式"变化规律,为理解生育机制打开了新窗口。
山梨大学团队采用双阶段研究设计:回顾性分析2020年99个冻融胚胎移植(FET)周期数据,前瞻性标准化测量2022-2023年192个周期。通过严格控制的经阴道超声技术(患者排空膀胱、避免探头压迫),测量子宫颈内口至宫底连线形成的角度。研究同步检测血清雌二醇(E2)和孕酮(P4)水平,排除激素干扰因素。
主要结果
周期性角度变化:前瞻性研究显示子宫角度在月经期(135.1±27.7°)、排卵期(141.5±30.9°)和着床期(136.8±28.7°)存在显著差异(p<0.01),呈现"低-高-低"的波浪曲线。

与激素无相关性:角度变化独立于E2和P4水平(p>0.05),提示存在其他调控机制。
极端变化亚组:21例患者呈现显著角度波动(排卵期较月经期增加>21.8°,着床期回调>17.5°),其动态模式可能具有临床预测价值。

该研究提出创新性假说:排卵期子宫伸直可能形成"精子运输通道",而着床期前倾则创造"胚胎滞留微环境"。这种周期性重构可能协同子宫蠕动(peristalsis)共同优化受孕条件。临床启示包括:为困难胚胎移植病例提供角度调整依据;提示子宫固定术可能干扰生理性角度变化;为开发新型子宫动力学评估指标奠定基础。
研究局限性在于仅纳入前倾子宫病例,且未评估角度变化与妊娠结局的直接关联。未来研究可探索:角度变化在自然受孕周期中的重现性;子宫肌层(junctional zone)收缩与角度变化的耦合机制;以及角度参数在个体化胚胎移植策略中的应用价值。
生物通微信公众号
知名企业招聘