
-
生物通官微
陪你抓住生命科技
跳动的脉搏
糖类抗原125联合NT-proBNP对急性心力衰竭患者预后的预测价值:一项来自越南的前瞻性队列研究
【字体: 大 中 小 】 时间:2025年07月19日 来源:BMC Cardiovascular Disorders 2
编辑推荐:
本研究针对急性心力衰竭(AHF)患者预后评估的临床需求,探讨了糖类抗原125(CA125)联合N末端B型利钠肽原(NT-proBNP)对心血管死亡率、全因死亡率及复合终点事件的预测价值。研究人员通过越南单中心前瞻性队列研究(n=316)发现,CA125与NT-proBNP联合模型显著提升预后预测效能(aHR达11.77),为亚洲人群AHF风险分层提供了新型生物标志物组合方案。
在全球心力衰竭流行病的背景下,急性心力衰竭(AHF)患者的预后评估始终是临床面临的重大挑战。尽管NT-proBNP已成为金标准生物标志物,但其特异性受年龄、肾功能等因素影响。近年来,糖类抗原125(CA125)作为反映右心功能不全和全身充血的标志物崭露头角,但相关研究多局限于欧洲人群。越南作为发展中国家,AHF患者1年死亡率高达25.8%,却缺乏本土化的预后评估工具。
越南胡志明市医药大学附属医院心血管内科的Chau Minh Truong团队在《BMC Cardiovascular Disorders》发表的前瞻性队列研究,首次系统评估了CA125联合NT-proBNP在亚洲AHF患者中的预测价值。研究纳入316例符合ESC指南诊断标准的AHF患者,测量入院48小时内的CA125和NT-proBNP水平,通过12个月随访记录死亡率及心衰再住院事件。
研究采用电化学发光免疫分析法检测生物标志物,通过受试者工作特征(ROC)曲线确定最佳截断值,运用多变量Cox回归模型分析风险比。主要发现包括:
生物标志物水平与临床特征
基线数据显示,死亡组患者CA125中位数(70.0 vs 53.0 U/mL)和NT-proBNP中位数(8546 vs 6248 pg/mL)显著高于存活组,且更易合并房颤(44.4% vs 30.2%)和慢性肾病(41.9% vs 27.7%)。
预后预测效能
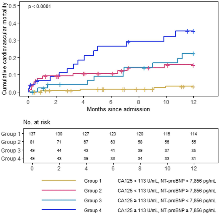
通过ROC分析确定的最佳截断值:心血管死亡为CA125 113 U/mL和NT-proBNP 7856 pg/mL;全因死亡为CA125 40 U/mL和NT-proBNP 6634 pg/mL。Kaplan-Meier曲线显示,双高组(CA125+NT-proBNP)12个月心血管死亡率达29.8%,显著高于双低组的3.2%(p<0.0001)。

多变量风险模型
调整年龄、肾功能等混杂因素后,双高组患者表现出:
预测性能提升
CA125使NT-proBNP对心血管死亡的预测AUC从0.637提升至0.746(p=0.021),对复合终点的AUC从0.571提升至0.648(p=0.009)。
这项研究创新性地证实:在包含15.2%ARNI和42.1%SGLT2i治疗的现代心衰管理背景下,CA125作为NT-proBNP的补充标志物,能显著改善亚洲AHF患者的风险分层。其临床价值体现在:
研究为ESC指南推荐的"多标志物策略"提供了亚洲人群证据,未来需在多中心队列中验证其普适性。值得注意的是,COVID-19流行期数据可能高估实际风险,且未评估动态监测价值,这为后续研究指明了方向。
生物通微信公众号
知名企业招聘