
-
生物通官微
陪你抓住生命科技
跳动的脉搏
FuXi Weather:基于机器学习的全球天气数据同化与预报系统突破传统数值天气预报局限
【字体: 大 中 小 】 时间:2025年07月20日 来源:Nature Communications 14.7
编辑推荐:
本研究针对传统数值天气预报(NWP)系统计算成本高、观测数据利用率低等问题,开发了首个端到端机器学习天气系统FuXi Weather。该系统通过融合多卫星原始数据,实现了0.25°分辨率的10天循环数据同化(DA)和预报,在非洲等观测稀疏区域的预报性能超越ECMWF HRES,为欠发达地区提供了高性价比的气候韧性解决方案。
天气预测一直是人类与自然博弈的重要战场。自1950年首次使用ENIAC计算机成功实现数值天气预报(NWP)以来,预报技术虽不断进步,却始终面临两大困境:发达国家依靠超级计算机运行的高分辨率模型成本惊人,而观测基础设施薄弱的非洲地区,其预报准确率甚至仅略优于气候平均值。更严峻的是,随着气候变化加剧,极端天气事件频发,传统NWP系统在计算效率、数据利用率和分辨率提升方面已触及瓶颈。
在此背景下,由国内研究团队领衔开发的FuXi Weather系统实现了革命性突破。这项发表于《Nature Communications》的研究,首次构建了完全基于机器学习的端到端全球天气预报框架,其创新性在于将数据同化与预报整合为统一的学习系统。该系统通过处理风云三号E星(FY-3E)、Metop-C等极轨卫星的原始亮温数据,结合GNSS无线电掩星(RO)观测,实现了全网格、全表面、全通道的"全天空"数据同化能力。
关键技术包括:(1)改进的PointPillars算法处理稀疏卫星观测数据;(2)变量/仪器特异性编码器架构;(3)结合背景预报的混合DA框架;(4)FuXi-Short和FuXi-Medium级联预报模型;(5)基于重放的增量学习策略应对卫星数据演变。研究使用2023年7月至2024年6月的实测数据进行了为期一年的连续循环测试。
全球分析场性能
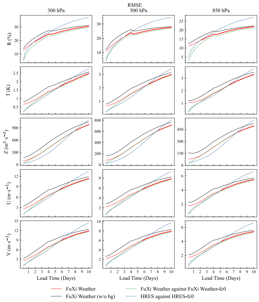
对比包含/排除背景预报的两种配置,FuXi Weather在300/500 hPa高度场的温度(T)、相对湿度(R)分析误差显著低于42小时预报基准,验证了背景场对约束DA过程的关键作用。850 hPa层面因卫星观测限制,分析误差略高于预报,但引入背景预报仍使RMSE降低15-20%。
10天预报性能
在0.25°分辨率下,FuXi Weather对位势高度(Z)、温度(T)的7-8天预报显著优于ECMWF HRES。以异常相关系数(ACC)0.6为阈值,其对Z500的可用预报时效延长至9.5天,比ECMWF HRES提高0.25天。值得注意的是,系统仅使用ECMWF约10%的观测数据量即实现这一突破。
非洲区域预报突破
在观测稀疏的中非地区(15°E-35°E, 10°N-10°S),FuXi Weather对2米温度(T2M)的ACC在10天内持续高于0.6,而ECMWF HRES仅在2天内保持该精度。单次观测试验显示,对NOAA-20 ATMS通道施加+5K扰动后,系统产生的湿度场变化与辐射传输理论高度吻合,验证了其物理一致性。
这项研究颠覆了"机器学习模型依赖NWP初始场"的传统认知,首次实现全年稳定运行的独立预报系统。其重要意义在于:(1)通过降低对地面观测网的依赖,为欠发达地区提供成本仅为传统系统1/10的高精度预报方案;(2)证明机器学习可有效学习卫星观测与大气状态间的复杂非线性关系,无需显式构建观测算子;(3)开辟了"观测直接到预报"(AI-DOP)的新范式。未来通过融入更多观测类型和生成式模型,有望进一步缩短与NWP的短期预报差距。



生物通微信公众号
知名企业招聘