
-
生物通官微
陪你抓住生命科技
跳动的脉搏
北极植被覆盖数据库PAVC:构建泛北极植被覆盖图谱的基础与挑战
【字体: 大 中 小 】 时间:2025年07月22日 来源:Scientific Data 5.8
编辑推荐:
为解决北极植被数据分散、采集标准不统一的问题,Oak Ridge国家实验室等机构联合开发了Pan-Arctic Vegetation Cover(PAVC)数据库。研究整合了2010-2021年阿拉斯加977个调查单元的644种植物数据,通过标准化物种名称和植物功能型(PFT)分类,建立了适用于遥感制图的高质量植被覆盖数据库。该成果发表于《Scientific Data》,为地球系统模型(ESMs)和北极生态监测提供了关键基础数据。
北极地区正经历着全球最显著的气候变化,其植被覆盖变化直接影响永久冻土稳定性和全球碳循环。然而,现有北极植被数据存在严重碎片化问题:不同研究团队采用差异化的采集方法(如视觉估计法或点截法)、命名标准(如物种级或属级记录)和存储格式,导致数据难以整合应用。这种混乱局面严重制约了高精度遥感制图和地球系统模型(ESMs)的预测能力。
为解决这一挑战,Oak Ridge National Laboratory(美国橡树岭国家实验室)领衔的国际团队开发了Pan-Arctic Vegetation Cover(PAVC)数据库。研究整合了阿拉斯加5大数据库的977个调查单元数据,涵盖644个物种和8类植物功能型(PFT),包括落叶/常绿灌木、苔藓、地衣等。通过标准化物种命名(基于AKVEG Checklist)和开发可复用的Python工作流程,团队建立了首个兼容遥感需求的泛北极植被覆盖数据库。该成果发表于《Scientific Data》,为理解北极植被-气候反馈机制提供了关键基础设施。
关键技术方法包括:(1)多源数据整合:从AKVEG、NEON等5个数据库提取2010-2021年阿拉斯加植被数据;(2)物种名称标准化:通过三级匹配流程将原始数据与AKVEG Checklist对齐;(3)PFT分类:基于E3SM Land Model框架定义8类功能型;(4)空间验证:利用Circumpolar Arctic Vegetation Map(CAVM)进行生态区匹配度分析。
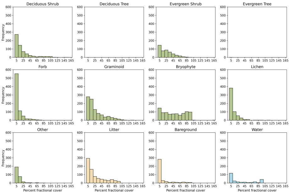
PAVC数据库包含4个核心数据集:物种-PFT对应表、物种级覆盖度、PFT级覆盖度和调查单元元数据。其中PFT级数据显示灌木(21.7%)、禾草(18.3%)和苔藓(15.2%)为优势类群,而树木(<1%)和地衣(4.5%)占比较低。

通过CAVM生态区对比发现,PAVC数据与CAVM的Graminoid Tundra(G1/G2)匹配度较低(准确率仅11%),而在Erect Dwarf-Shrub Tundra(S2)匹配较好(43-62%)。

研究特别强调数据应用的三大注意事项:(1)样方设计差异:1 m2视觉样方与Sentinel-2像元(10-20 m)存在尺度不匹配;(2)物候影响:落叶灌木覆盖度季节变幅可达30%;(3)定位误差:早期GPS数据精度可能偏差>10 m。

该研究首次系统整合了多源北极植被数据,其标准化框架已被NGEE Arctic等项目用于阿拉斯加植被制图。未来计划将数据库扩展至格陵兰和俄罗斯,并开发在线查询平台。PAVC不仅解决了遥感验证数据短缺的难题,更通过PFT分类体系架起了生态调查与气候模型间的桥梁,为预测北极碳循环变化提供了不可替代的数据基石。
生物通微信公众号
知名企业招聘