
-
生物通官微
陪你抓住生命科技
跳动的脉搏
二甲双胍对2型糖尿病患者抑郁和焦虑风险的遗传相关性及时间-获益分析:基于UK Biobank的队列研究
【字体: 大 中 小 】 时间:2025年07月23日 来源:Communications Medicine 5.4
编辑推荐:
本研究针对2型糖尿病(T2DM)患者心理健康管理难题,通过分析UK Biobank中11,379例患者数据,首次揭示二甲双胍可显著降低抑郁风险(HR=0.771),发现KCNIP4等关键基因交互作用,并量化其预防抑郁的时间-获益阈值(8.27个月/千人)。该研究为糖尿病个性化治疗提供了神经保护新证据。
研究背景与意义
在全球范围内,2型糖尿病(T2DM)与精神障碍的共病现象日益严峻。数据显示,T2DM患者罹患抑郁的风险是普通人群的2倍,而抑郁又会通过影响患者自我管理加剧糖尿病进展,形成恶性循环。尽管二甲双胍作为T2DM一线药物已被证实具有多重代谢益处,但其对心理健康的影响一直存在争议:丹麦大型队列研究支持其抗抑郁作用,而部分临床试验却因样本异质性得出矛盾结论。更关键的是,遗传因素如何调控这种效应、临床获益需要多长时间等问题始终悬而未决。
为破解这些难题,西安交通大学医学部的研究团队开展了这项开创性研究。他们创新性地整合了生存分析、基因组环境交互研究(GWEIS)和时间-获益(TTB)模型,首次系统评估了二甲双胍对T2DM患者精神健康的遗传保护效应及临床适用窗口。相关成果发表于《Communications Medicine》,为糖尿病合并精神障碍的精准防治提供了重要循证依据。
关键技术方法
研究团队利用UK Biobank中11,379例T2DM患者数据,采用倾向评分加权(PSW)和Cox模型控制混杂因素;通过GWEIS分析筛选与二甲双胍交互作用的基因位点;运用Weibull模型和蒙特卡洛模拟计算预防抑郁所需的治疗时间。所有分析均经过多重敏感性验证,包括排除早期事件、调整多基因风险评分(PRS)等。
主要研究结果
1. 抑郁风险显著降低
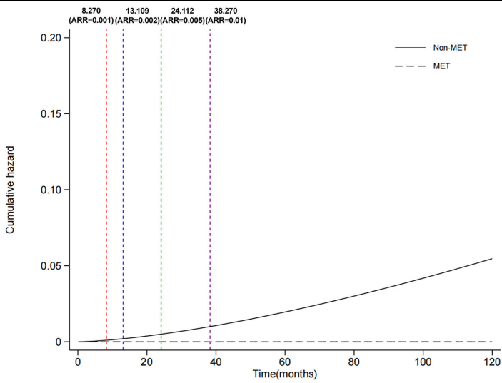
经过13.4年随访发现,二甲双胍使用者抑郁发生率降低22.9%(PSW-HR=0.771),每治疗1000人8.27个月可预防1例抑郁。这种保护效应在女性、BMI<25 kg/m2及高遗传风险人群中尤为显著。

2. 关键基因交互网络
GWEIS鉴定出673个显著SNP,其中KCNIP4基因座rs77980627与二甲双胍的交互效应达基因组显著性(P=7.69×10-17)。该基因编码钾通道相互作用蛋白,与神经元突触可塑性密切相关。BTG3(rs147632274,P=9.58×10-16)等神经发生相关基因同样被识别。

3. 通路富集特征
虽然GO分析显示"轴突导向"等神经发育通路有潜在关联,但经FDR校正后未达显著性,提示可能存在新型作用机制。研究者推测二甲双胍可能通过AMPK/CREB/BDNF等非经典通路发挥神经保护作用。
4. 临床决策阈值
TTB分析量化了不同绝对风险降低(ARR)目标所需治疗时长:预防1例抑郁需治疗100人3.19年(ARR=0.01)或500人13.1个月(ARR=0.002),为临床权衡利弊提供了精确依据。

结论与展望
该研究首次证实二甲双胍对T2DM患者的抑郁预防作用具有遗传基础,KCNIP4等基因变异可能通过调控神经元兴奋性影响药物反应。提出的8.27个月TTB阈值,为临床制定个性化方案提供了重要参考——尤其适用于预期生存期较长的女性、低BMI或高遗传风险患者。
值得注意的是,研究未发现二甲双胍对焦虑的显著影响,这种症状特异性提示精神障碍不同亚型可能存在差异化的药效机制。未来研究需在更多族裔人群中验证这些发现,并深入探索已识别基因与AMPK/NLRP3等已知通路的协同作用。从临床转化角度看,这些发现支持将二甲双胍优先用于具有特定遗传特征的T2DM患者,既控制血糖又预防抑郁,实现"一石二鸟"的治疗策略。
生物通微信公众号
知名企业招聘