
-
生物通官微
陪你抓住生命科技
跳动的脉搏
Clareon Vivity与Tecnis PureSee人工晶状体的光学性能评估:聚焦深度与错位效应的实验室研究
【字体: 大 中 小 】 时间:2025年07月25日 来源:Scientific Reports 3.8
编辑推荐:
本研究针对现代人群对中距离视力的迫切需求,通过ISO标准光学测试系统评估了两种主流EDoF(扩展景深)人工晶状体(IOL)的光学性能。德国海德堡大学团队采用MTF(调制传递函数)和USAF分辨率测试,系统比较了Clareon Vivity(非衍射波前重塑设计)与Tecnis PureSee(折射型设计)在3.0/4.5mm孔径下的成像质量、0.5mm偏心及5°倾斜耐受性。结果显示两种IOL在远距视力(-0.04 vs -0.05 logMAR)和中距视力(0.05 vs 0.07 logMAR)表现相当,偏心比倾斜更影响光学质量,且均产生最小光晕效应,为临床选择提供了重要实验室依据。
随着数字设备使用时间的激增(全球日均6.7小时),35-62cm的中距离视觉需求成为现代生活的刚需。这种需求对接受白内障或屈光性晶体置换手术的患者尤为关键,传统单焦点人工晶状体(IOL)难以满足中距离用眼需求。虽然扩展景深(EDoF)IOL通过连续聚焦区域设计改善了这一问题,但不同光学设计(如衍射型与折射型)在临床效果、耐受性方面的差异仍需系统评估。德国海德堡大学眼科研究所(The David J. Apple Center for Vision Research, University of Heidelberg)的研究团队在《Scientific Reports》发表论文,对当前全球用量最大的两种EDoF IOL——采用X-Wave技术的Clareon Vivity(Alcon)与折射型设计的Tecnis PureSee(Johnson & Johnson)进行了全面的光学性能比较。
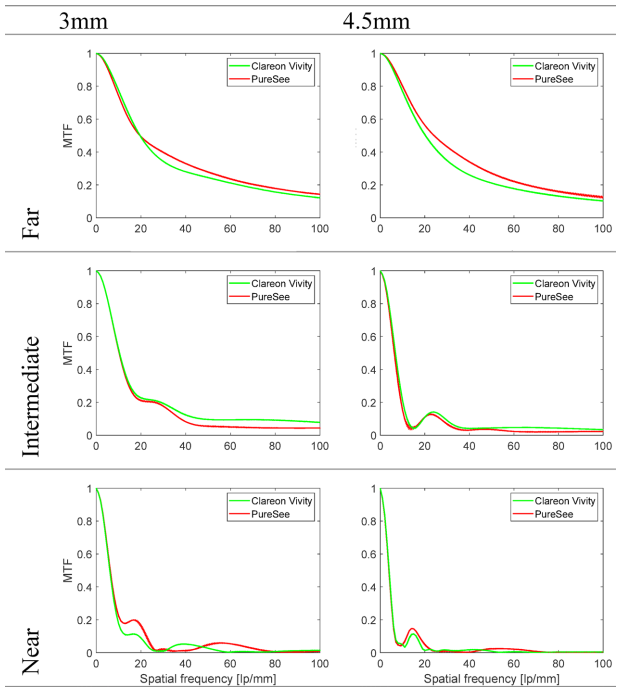
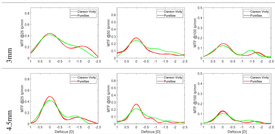
研究采用ISO 11979-2标准的光学测试平台,通过调制传递函数(MTF)分析、USAF分辨率测试、离焦曲线测量等方法,在3.0/4.5mm两种孔径下评估了IOL的成像质量。特别模拟了0.5mm偏心与5°倾斜的临床常见错位情况,并通过点扩散函数(PSF)分析光晕效应。所有测试均使用+20D镜片样本,采用三重复测量取平均值。
【调制传递函数分析】

【离焦特性】

【视觉模拟】

【错位影响】

【光晕效应】

该研究首次在标准化条件下系统比较了两种主流EDoF IOL的光学特性。结果表明:虽然Clareon Vivity在中距视觉(对应电子设备使用距离)略优,但Tecnis PureSee在远距光学质量上更具优势;临床常见的IOL错位中,偏心比倾斜产生更大影响;两种折射设计均能最小化光晕等视觉干扰。这些发现为临床医生选择IOL提供了重要参考——需根据患者用眼习惯(如重度电子设备使用者可能更适合Vivity)和解剖特征(如囊袋稳定性)进行个性化选择。研究采用的实验室预测模型与部分临床数据存在差异(如PureSee的临床近视力比预测值差0.13 logMAR),提示未来需要建立更精准的体外-体内相关性模型。随着EDoF IOL在全球用量持续增长(2023年Vivity成为用量第一的EDoF IOL),这类基础光学研究将为优化临床效果奠定重要基础。
生物通微信公众号
知名企业招聘