
-
生物通官微
陪你抓住生命科技
跳动的脉搏
膳食活性微生物摄入与胃肠疾病患者抑郁症状缓解的关联性研究:基于NHANES数据的横断面分析
【字体: 大 中 小 】 时间:2025年07月26日 来源:Nutrition & Metabolism 3.9
编辑推荐:
本研究针对胃肠疾病患者抑郁症状高发的临床难题,创新性探讨了膳食活性微生物(dietary live microbe)摄入与抑郁症状的关联。研究人员通过分析NHANES 2005-2018年2195例胃肠疾病患者数据,发现高活性微生物摄入可使抑郁风险降低66.1%,并构建AUC达0.897的XGBoost预测模型,为微生物-肠-脑轴(microbiota-gut-brain axis)干预提供新证据。
胃肠疾病与抑郁症状常如影随形,这种"肠脑共病"现象正成为全球公共卫生新挑战。研究显示,炎症性肠病患者的抑郁患病率高达49%,是普通人群的2倍;而54%的抑郁症患者伴有胃肠症状。这种双向关联背后,微生物-肠-脑轴的失调可能是关键纽带。虽然益生菌改善情绪的研究层出不穷,但日常饮食中天然存在的活性微生物对胃肠疾病患者抑郁症状的影响仍是未解之谜。
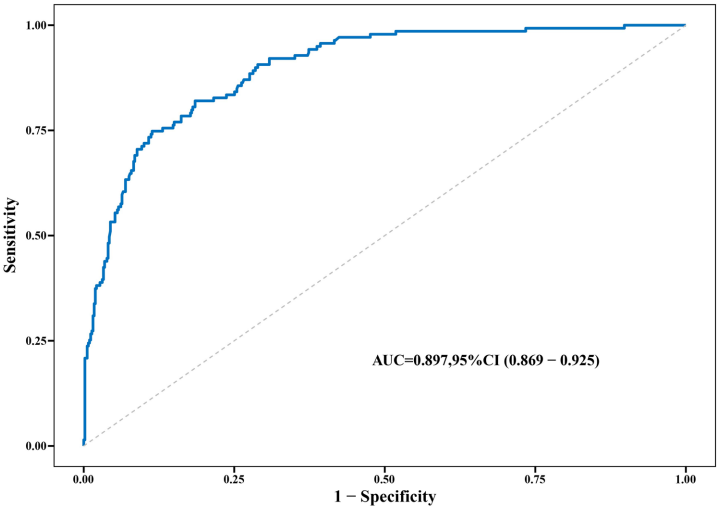
河南省肿瘤医院的研究团队利用美国国家健康与营养调查(NHANES)2005-2018年数据,开展了一项突破性研究。他们采用加权多因素逻辑回归和限制性立方样条(RCS)分析,对2195例近期出现呕吐/腹泻的胃肠疾病患者进行深入分析,并通过XGBoost算法构建抑郁预测模型。研究特别关注膳食活性微生物的三级分类(低<104 CFU/g、中104-107 CFU/g、高>107 CFU/g)及其与抑郁症状(PHQ-9≥10)的关联。
主要技术方法包括:1)基于USDA数据库量化食物活性微生物含量;2)采用加权多变量逻辑回归控制混杂因素;3)应用RCS分析剂量反应关系;4)利用XGBoost算法构建预测模型并通过SHAP值解释特征重要性。
【研究结果】
基线特征:21.5%参与者存在抑郁症状,抑郁组活性微生物摄入量显著更低(P<0.0001)。

关联分析:最高摄入组抑郁风险比最低组降低52.9%(OR=0.661),且每增加1g中高含量食物摄入风险降低0.1%。
非线性关系:RCS分析揭示L型剂量反应曲线,阈值28.25g后保护效应显著(Pnon-linear=4e-04)。

预测模型:XGBoost模型AUC达0.897,SHAP分析显示活性微生物摄入是第四大预测因子。

这项研究首次证实膳食活性微生物与胃肠疾病患者抑郁症状存在显著负相关,其保护效应可能通过调节肠道菌群、减轻低度炎症等机制实现。特别是发现双歧杆菌(Bifidobacterium)、乳酸菌(Lactobacillus)等益生菌含量较高的发酵食品可能发挥关键作用。研究创新性地将微生物摄入量化为可操作的膳食指标,为临床营养干预提供了重要参考。尽管横断面设计无法确立因果关系,但研究结果为后续开展膳食微生物干预抑郁的随机对照试验奠定了科学基础,对推动"食疗"在精神健康领域的应用具有里程碑意义。
值得注意的是,研究揭示的性别差异现象——男性保护效应更显著(OR=0.214 vs 女性0.549),暗示微生物-肠-脑轴调控可能存在性别特异性通路。这为个性化营养干预提供了新思路,也为解释抑郁症的性别发病率差异提供了微生物组学视角。未来研究可进一步解析特定微生物菌株的作用机制,并探索其与现有抗抑郁治疗的协同效应。
生物通微信公众号
知名企业招聘