
-
生物通官微
陪你抓住生命科技
跳动的脉搏
夜间睡眠时长与中国高血压合并糖尿病患者血压及血糖双重管理的关联研究
【字体: 大 中 小 】 时间:2025年07月26日 来源:Scientific Reports 3.8
编辑推荐:
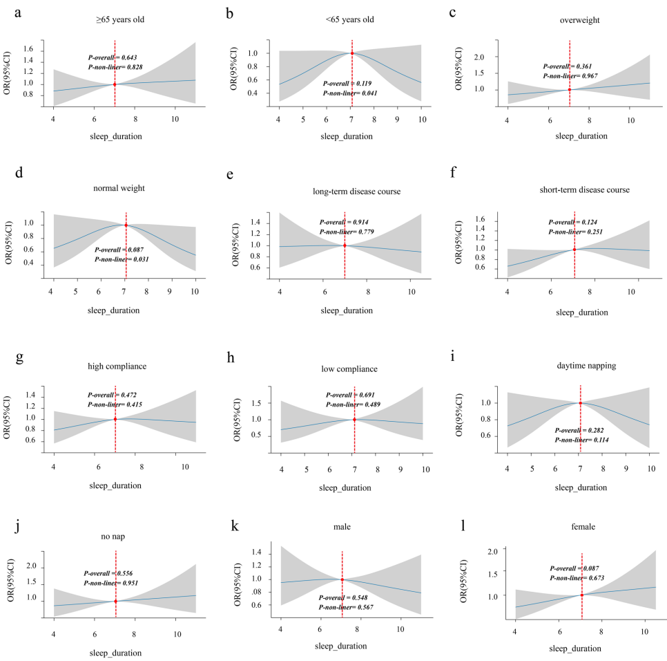
本研究针对高血压与糖尿病共病患者这一高危人群,探讨了夜间睡眠时长与血压(BP)及血糖控制的关系。上海疾控中心等机构通过横断面研究发现,睡眠时长>9小时与血压失控显著相关,且存在性别差异:男性短睡眠(<6小时)风险更高,女性长睡眠风险突出。该研究首次揭示了睡眠调控在共病管理中的优先级现象——血压调节可能比血糖调节(HbA1c)更具代谢需求优势,为个体化睡眠干预提供了循证依据。
在慢性病"双高"时代,高血压和糖尿病这对"难兄难弟"常常结伴出现。中国45岁以上人群每10人中就有1人同时遭受这两种疾病的困扰,他们发生心血管疾病的风险是普通人的2.4倍。尽管临床指南对这类患者提出了更严格的血压控制标准(<130/80 mmHg),但现实情况令人担忧——调查显示仅有18.9%的患者血压达标,血糖控制率也仅有34.8%。面对这样的管理困境,上海南桥社区卫生服务中心与上海市疾病控制预防中心的研究团队将目光投向了睡眠这个基础生理过程。
既往研究已经发现睡眠时长与高血压、糖尿病单独存在关联,但两种疾病共治时,睡眠如何影响双重代谢调控仍是未解之谜。为此,研究人员在上海6个社区卫生服务中心纳入2794名50岁以上高血压合并糖尿病患者,通过标准化问卷收集睡眠数据,采用自动血压计(HBP-1100U)测量血压,高效液相色谱法检测糖化血红蛋白(HbA1c),构建多因素逻辑回归模型分析睡眠时长与疾病控制的关联。
研究采用横断面设计,通过简单随机抽样选取社区管理的共病患者。通过面对面访谈收集睡眠时长等数据,使用Morisky量表(MMAS-8)评估用药依从性,国际体力活动问卷(IPAQ-SF)评估运动水平。血压测量采用两次测量取均值法,差异>5 mmHg时进行第三次测量。生化指标通过全自动生化分析仪(Cobas C501)检测。


该研究首次揭示了高血压糖尿病共病患者中,血压调控可能比血糖(HbA1c)调控对睡眠变化更敏感。Chen B等学者提出的"代谢需求竞争"假说认为,当两种疾病共存时,机体可能优先响应血压调节需求。这一发现为共病管理提供了新视角:
研究发表在《Scientific Reports》的成果提示,将睡眠干预纳入共病管理方案可能成为突破当前控制率瓶颈的新策略。不过研究者也指出,抑郁、阻塞性睡眠呼吸暂停(OSA)等混杂因素仍需在后续研究中加以控制,而穿戴设备辅助的客观睡眠监测将是重要发展方向。
生物通微信公众号
知名企业招聘