
-
生物通官微
陪你抓住生命科技
跳动的脉搏
HIV-1全基因组内重组率评估揭示病毒适应性进化与免疫逃逸新机制
【字体: 大 中 小 】 时间:2025年07月28日 来源:Virus Evolution 5.5
编辑推荐:
本研究通过整合长读长与短读长测序数据,对数百例未经治疗的HIV-1感染者进行纵向分析,首次系统量化了不同亚型、病毒载量和感染阶段的重组率差异,并绘制了基因组重组热点图谱。研究发现env基因区因强选择压力导致重组抑制,而p31整合酶区域呈现异常活跃的重组特征,为理解病毒进化动力学和疫苗设计提供了关键数据。
病毒进化的"基因洗牌"奥秘
在人类与HIV-1长达四十年的博弈中,病毒通过高频基因重组不断产生遗传变异,这种"分子魔术"使其能够逃避宿主免疫攻击并产生耐药性。尽管已知HIV-1是已知重组率最高的病毒之一(10-5-2×10-4 events/site/generation),但关于重组热点分布规律及其与病毒适应性的关系仍存在三大谜团:不同基因组区域是否存在固有重组倾向?宿主免疫压力如何影响有效重组率?实验室测量结果能否反映真实感染情境?
牛津大学大数据研究所(Big Data Institute, University of Oxford)联合PANGEA联盟的研究团队在《Virus Evolution》发表的重要研究,通过对非洲1,945对HIV血清学不一致夫妇的3,333份样本进行全基因组分析,首次绘制了HIV-1体内重组的精细图谱。研究创新性地结合PacBio长读长测序和Illumina短读长测序数据,采用时间序列连锁衰减分析法(RATS-LD),揭示了重组率与病毒进化压力的动态关联。
关键技术方法
研究团队建立了包含306名PacBio测序对象(163源感染者+143受体)和356名Illumina测序对象的双队列。通过改进的veSEQ-HIVprotocol处理血浆样本,使用SMARTer Stranded Total RNA-Seq建库,并采用IDT探针进行HIV特异性富集。数据分析采用Phyloscanner生成滑动窗口比对(750bp窗口用于PacBio,250bp用于Illumina),通过Shiver流程构建个体化参考序列。重组率计算采用Romero和Feder开发的RATS-LD方法,量化连锁不平衡(LD)随时间和基因组距离的衰减特征。
主要研究发现
1. 基因组重组的热点图谱
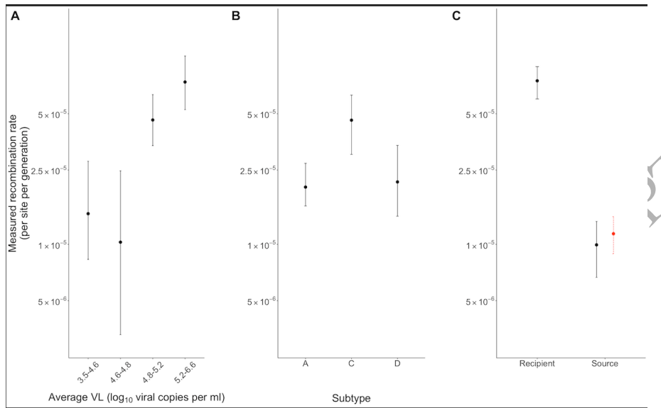
滑动窗口分析(500bp窗口,10bp步长)显示重组率存在100倍差异(1.43×10-6-1.24×10-4 events/site/generation)。p31整合酶区域表现出超常重组活性(5.64×10-5),比基因组中位数高3.7倍,这对理解整合酶抑制剂(INSTIs)耐药突变产生具有重要意义。env基因则呈现显著的区域异质性,其V2-V3环间区域重组率低至1.6×10-6,而两端tat/vpu和rev/tat外显子区则形成明显重组热点。

2. 宿主因素对重组的影响
病毒载量(VL)与重组率呈显著正相关:当VL>104.8 copies/mL时,重组率飙升至7.39×10-5(95%CI:5.25-10.2×10-5),是低VL组的5倍。感染阶段分析显示,早期感染者(受体)重组率(7.5×10-5)显著高于慢性期患者(1.1×10-5),这种差异在匹配VL和采样间隔后仍然存在,提示免疫选择压力随时间增强。

3. 亚型特异性重组模式
C亚型表现出最高重组率(4.62×10-5),显著高于A(2.02×10-5)和D亚型(2.16×10-5)。值得注意的是,9/10先前报道的亚型间重组热点在本次个体内分析中得到验证,表明重组倾向具有跨尺度的保守性。
4. 选择压力对重组产物的筛选
env基因区非同义突变位点间的重组率(1.15×10-5)仅为同义突变位点的1/3(3.57×10-5),这种差异在gag和pol基因中未观察到,证实env蛋白的结构限制强烈抑制非适应性重组体的存活。

理论突破与实践意义
该研究首次系统证明HIV-1重组热点具有跨亚型和跨宿主保守性,为预测新型重组体(CRFs/URFs)的出现提供了分子标记。发现p31整合酶区域的高重组倾向,解释了为何INSTIs耐药突变常以组合形式出现。env基因的强选择压力特征则提示,疫苗设计应优先针对重组耐受区(如V2-V3环)而非高频重组区。
方法学上,研究证实长读长测序可将有效连锁检测距离从200bp扩展至500bp,解决了传统短读长测序对重组事件低估的问题。时间尺度距离阈值(dΔt=75,000)的确定为未来研究提供了标准化分析框架。这些发现不仅深化了对病毒进化机制的理解,也为抗病毒策略和疫苗设计提供了新的分子靶点。
生物通微信公众号
知名企业招聘