
-
生物通官微
陪你抓住生命科技
跳动的脉搏
中国透析患者健康相关生命质量(SF-6Dv2)的社会人口学特征分析:基于分位数回归的贡献
【字体: 大 中 小 】 时间:2025年07月30日 来源:Health and Quality of Life Outcomes 3.2
编辑推荐:
本研究针对中国透析患者健康相关生命质量(HRQoL)评估的临床需求,通过多中心调查收集378例患者数据,采用分位数回归(Quantile Regression)创新性分析SF-6Dv2效用值与年龄、教育水平、经济状况等社会人口学因素的关联。研究发现不同健康状态患者的影响因素存在显著异质性,为制定分层干预策略提供循证依据,方法学上证实分位数回归较传统OLS模型更能捕捉极端值特征。
慢性肾脏病(CKD)正成为我国重大公共卫生挑战,预计2025年透析患者将超80万。这类患者不仅面临生理功能衰退,健康相关生命质量(HRQoL)的急剧下降更构成"隐形负担"。传统评估多聚焦临床指标,而如何量化社会经济学因素对患者主观健康感受的影响,特别是针对不同健康状态群体的差异化关联,始终是医疗决策的盲区。
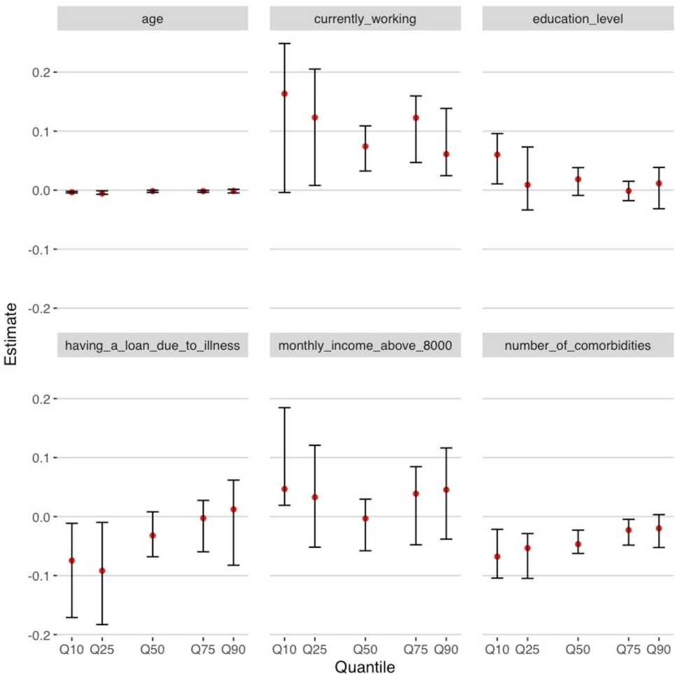
中国人民大学的研究团队在《Health and Quality of Life Outcomes》发表创新研究,首次将分位数回归(Quantile Regression)应用于中国透析人群SF-6Dv2效用值分析。通过2023-2024年覆盖北京、西安等四地八家医院的378例患者调查,研究人员发现:教育水平对低健康状态患者(Q10)效用值提升达0.12分,显著高于中高健康群体;而疾病贷款对Q25分位患者的负面影响(-0.15)是Q90分位的3倍。这种"健康状态依赖性关联"被传统OLS回归完全掩盖。
关键技术方法包括:1)采用中国版SF-6Dv2(含6维度18,750种健康状态)通过复合时间权衡法(TTO)生成效用值;2)通过"问卷星"平台结合面对面访谈完成多中心数据采集;3)运用5折交叉验证比较OLS与分位数回归(Q10-Q90)的预测性能。
主要研究发现:
社会经济学因素的梯度效应
月收入>8000元对Q90高分位患者效用值提升0.21分,但对Q10低分位仅0.03分(Wald检验p=0.015)。工作状态呈现类似模式,就业对健康极差患者(Q10)的改善幅度是健康中等者的2.7倍。
临床负担的分布特征
合并症数量增加对Q50中位患者效用值影响(-0.042/种)显著小于Q10患者(-0.087/种),证实疾病累积效应在健康脆弱群体中更敏感。
模型性能突破
分位数回归"最佳估计"模型的均方根误差(RMSE=0.098)较OLS(0.251)降低61%,尤其在效用值两端预测更精准。如图1所示,OLS预测值范围(0.34-0.83)严重压缩了实际观测范围(-0.28-1.0)。
这项研究开创性地揭示:中国透析患者的HRQoL影响因素存在"健康状态依赖性",传统均值回归可能低估社会经济干预对健康脆弱群体的潜在收益。方法论上,分位数回归能捕捉到OLS模型无法识别的12.5%额外变异,为精准医疗决策提供新工具。实践层面,建议对低健康状态患者优先实施教育支持(如疾病认知课程)和经济援助,而对高健康状态群体则应侧重就业保障。该成果为制定分层非临床干预策略提供量化依据,对减轻我国快速增长的透析疾病负担具有重要公共卫生意义。



生物通微信公众号
知名企业招聘