
-
生物通官微
陪你抓住生命科技
跳动的脉搏
人工表面诱导补体激活:体外循环中持续存在的临床挑战与机制解析
【字体: 大 中 小 】 时间:2025年07月30日 来源:Scientific Reports 3.8
编辑推荐:
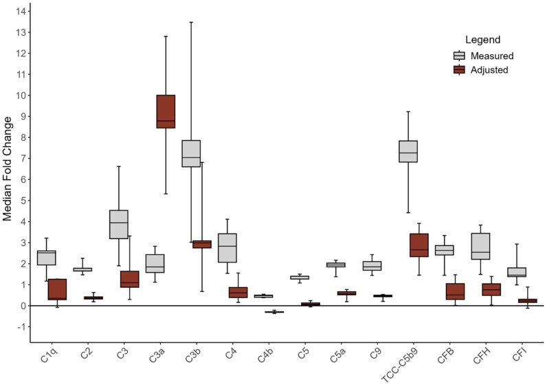
本研究针对体外循环(CPB)中人工表面引发的补体系统激活这一长期未解决的临床问题,通过45例儿童心脏手术血液预充液的时序分析,揭示了磷酸胆碱涂层回路仍无法抑制的补体级联反应。研究发现新鲜冰冻血浆(FFP)是主要补体来源,回路暴露导致C3a(8.8倍)、C3b(3.0倍)和TCC-C5b9(2.7倍)显著升高,证实了替代途径和终末途径的持续激活。该研究为开发靶向补体抑制疗法提供了重要依据,对改善儿童心脏手术预后具有重要临床意义。
在心脏外科手术中,体外循环(CPB)就像一台临时接管心肺功能的机器,但它的塑料管道和人工氧合器却会意外激活人体古老的防御系统——补体系统。这种"误伤"尤其对接受先天性心脏病矫正手术的婴幼儿影响显著,他们娇小的身躯需要预充大量异体血液制品,而这些血制品在与人工表面接触时会产生超生理剂量的炎症介质。尽管现代生物相容性涂层技术有所改进,但补体激活导致的全身炎症反应仍是术后并发症的重要推手,与器官功能障碍和恢复延迟密切相关。
Dalhousie大学心脏外科分部的Joel David Bierer团队在《Scientific Reports》发表的研究,系统分析了45例儿童CPB血液预充液的补体激活动态。研究人员采用时间序列采样策略,在预充液制备的不同阶段(包括新鲜冰冻血浆FFP、红细胞悬液pRBC、预超滤Pre-BUF和终超滤End-BUF)采集样本,通过Luminex多重免疫分析技术定量检测14种补体成分,并建立广义线性混合效应模型(GLMEM)分析变量关系。研究特别关注了缓冲超滤(BUF)过程中补体介质的提取和浓缩效应,通过数学调整分离出纯粹的补体激活信号。
研究结果部分,"血液产品的补体介质来源"显示FFP含有显著高于pRBC的补体成分,其中C3a浓度达32 ng/ml,C5a为5.5 ng/ml,而TCC-C5b9为40 ng/ml。值得注意的是,全血制备的FFP比单采血浆含有更高水平的终末补体复合物(0.040 vs 0.028 nM)。
"补体反应随时间变化"部分揭示,回路暴露导致补体级联显著激活。调整超滤影响后,C3a出现8.8倍增长,C3b增加3.0倍,TCC-C5b9升高2.7倍。关键的C3a/C3比值从FFP的0.002激增至End-BUF的0.109,而TCC-C5b9/C5比值增长11倍,证实替代途径和终末途径的持续激活。

"广义线性混合效应模型"分析显示,回路暴露时间仅与C3a浓度显著相关([C3a]~CET0.618),而补体激活介质间存在强相关性,如[C3b]~[C3a]0.552和[TCC-C5b9]~[C5a]0.691。值得注意的是,补体因子B(CFB)浓度是C3b的强预测因子([C3b]~[CFB]1.130)。
研究结论指出,即使采用现代磷酸胆碱涂层技术,体外循环回路仍会触发显著的补体激活。这种"二次打击"现象(FFP制备过程已含激活产物,回路暴露进一步加剧)导致预充液含有超生理水平的C3a(86 ng/ml)、C3b(140 μg/ml)和TCC-C5b9(293 ng/ml)。这些发现为理解CPB相关炎症提供了新视角,强调需要开发针对补体系统的多靶点干预策略。该研究不仅对儿童心脏手术有直接临床意义,也为血液透析、器官移植等其他涉及体外循环的临床场景提供了重要参考。
这项研究的创新性在于首次系统量化了血液预充液制备过程中的补体动态变化,揭示了替代途径的主导地位。研究人员特别指出,传统关注的促炎细胞因子在预充液中含量极低,而补体介质才是关键炎症驱动因素。这些发现将推动针对补体C3、C5等关键节点的抑制剂开发,并为优化体外循环技术提供理论依据。随着精准医学发展,这项基础研究可能引领CPB炎症管理的新范式转变。
生物通微信公众号
知名企业招聘