
-
生物通官微
陪你抓住生命科技
跳动的脉搏
入院血糖水平对糖尿病与非糖尿病ST段抬高型心肌梗死患者预后的差异性影响研究
【字体: 大 中 小 】 时间:2025年07月31日 来源:Scientific Reports 3.9
编辑推荐:
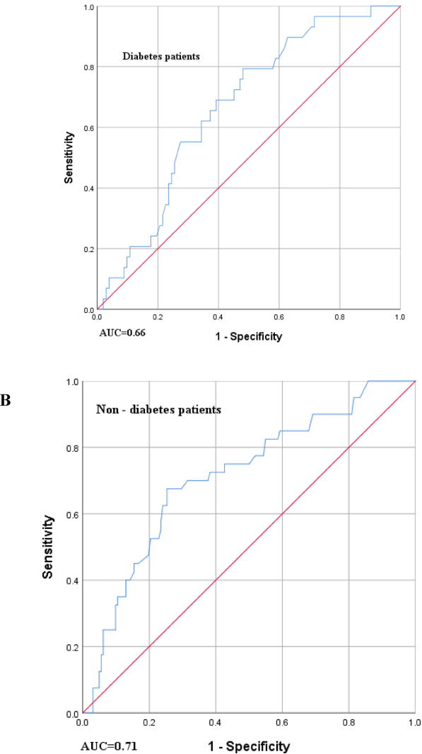
本研究针对急性心肌梗死(AMI)患者中高血糖对预后的不确定性,通过分析334例ST段抬高型心肌梗死(STEMI)患者的临床数据,首次确立了糖尿病与非糖尿病患者不同的入院血糖临界值(糖尿病组214 mg/dl,非糖尿病组148 mg/dl),并证实其可独立预测住院及一年死亡率。该成果为临床制定差异化血糖管理策略提供了重要依据,发表于《Scientific Reports》。
在全球每年至少15%的死亡归因于心肌梗死的背景下,ST段抬高型心肌梗死(STEMI)作为最严重的急性冠脉综合征类型,其预后仍受多种因素困扰。其中,高血糖这一常见并发症的临床意义长期存在争议——糖尿病与非糖尿病患者是否适用相同血糖阈值?血糖升高是应激反应还是独立危险因素?这些问题直接关系到临床干预策略的制定。
为解答这些关键问题,大不里士医科大学(Tabriz University of Medical Sciences)内分泌研究中心的Naimeh Mesri Alamdari团队开展了一项突破性研究。研究人员通过波斯心血管疾病登记系统(PROVE)获取了334例STEMI患者的临床数据,创新性地采用受试者工作特征(ROC)曲线分析,首次确立了糖尿病与非糖尿病患者差异化的入院血糖临界值,并系统评估了其对预后的预测价值。这项重要成果近期发表在《Scientific Reports》期刊。
研究主要采用三种关键技术方法:1) 基于PROVE注册系统的多源数据采集(包括医疗记录追溯和患者访谈);2) ROC曲线分析确定最佳血糖截断值;3) 多因素logistic回归模型评估独立预测因素。所有患者均接受直接经皮冠状动脉介入治疗(PCI),中位门-球囊时间(F2D)为240分钟。
研究结果
基线特征分析
糖尿病组(n=131)与非糖尿病组(n=203)在年龄、性别分布上无显著差异,但糖尿病组高血压(32.1% vs 26.1%)和高脂血症(22.1% vs 13.3%)患病率显著更高(P<0.05)。两组住院死亡率(22.1% vs 20.2%)和一年死亡率(26% vs 24.1%)无统计学差异。
血糖阈值确立
通过ROC曲线分析发现:

死亡率预测因素
多因素分析显示:
长期预后评估
血糖≥临界值同样预测一年死亡率(糖尿病组OR=3.40,非糖尿病组OR=4.21),且非糖尿病组风险增幅更显著。
这项研究首次系统揭示了血糖对STEMI预后的"双重标准"现象:非糖尿病患者虽然绝对血糖值较低,但相同幅度的血糖升高带来的死亡风险增幅更大(AUC 0.71 vs 0.66)。这一发现挑战了现行指南统一采用140 mg/dl作为干预阈值的做法,为精准医疗提供了重要依据。
从机制角度看,研究提示应激性高血糖在非糖尿病患者中可能反映更严重的交感神经激活和胰岛β细胞功能紊乱。而糖尿病患者由于长期代谢紊乱已产生适应性改变,需要更高血糖水平才能触发同等程度的病理生理反应。
该研究的临床意义在于:1) 为非糖尿病患者确立了更敏感的预警阈值(148 mg/dl),有助于早期识别高危病例;2) 证实即使未达糖尿病诊断标准的轻度高血糖(148-200 mg/dl)仍需积极干预;3) 为开发差异化的血糖管理方案奠定了循证基础。未来研究需进一步阐明不同血糖范围内最佳干预策略及分子机制。
生物通微信公众号
知名企业招聘