
-
生物通官微
陪你抓住生命科技
跳动的脉搏
跨国中老年人群抑郁症状的社会经济决定因素:基于机器学习的多队列研究
【字体: 大 中 小 】 时间:2025年08月06日 来源:npj Digital Medicine 15.1
编辑推荐:
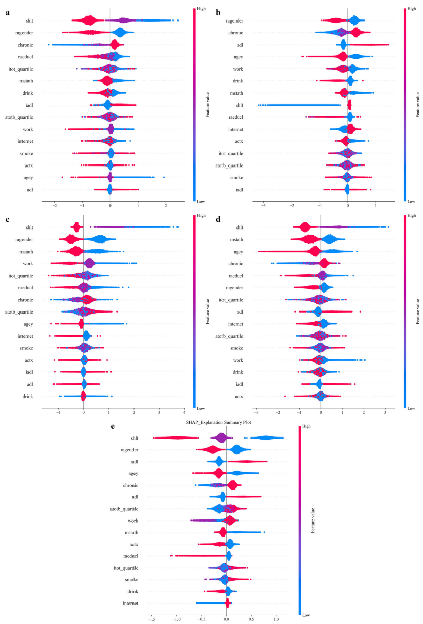
本研究针对全球老龄化背景下中老年抑郁症状的复杂成因,采用XGBoost和LightGBM等六种机器学习算法,结合SHAP解释框架,分析了HRS、ELSA、SHARE、CHARLS和MHAS五大跨国队列68,372名中老年人的数据。研究发现自评健康(self-rated health)是抑郁的核心预测因子(AUC 0.7677-0.9011),同时揭示收入与性别差异导致的风险异质性,为制定精准化干预策略提供数据支撑。
随着全球老龄化进程加速,60岁以上人口预计2050年将达21亿,抑郁症状已成为重大公共卫生挑战。现有研究表明,10-20%的老年人受抑郁困扰,但其成因涉及生物-心理-社会多维度因素的复杂交互,传统线性模型难以捕捉这种非线性关系。更棘手的是,不同收入群体和性别间存在显著差异——低收入女性往往面临经济不稳定、医疗资源匮乏等多重压力,但现有研究缺乏对这类异质性的系统解析。
中国的研究团队通过整合五大跨国老龄化队列(HRS、ELSA、SHARE、CHARLS、MHAS)的68,372份样本,采用机器学习破解这一难题。研究团队特别选用XGBoost和LightGBM等六种算法构建预测模型,结合SHAP(SHapley Additive exPlanations)框架实现模型可解释性。这些技术手段不仅能处理高维数据中的非线性关系,还能量化各特征对预测结果的贡献度。样本来自16个国家50岁以上人群,通过SMOTE技术解决数据不平衡问题,最终筛选15个核心变量涵盖人口统计学、生活方式和健康状态等维度。
模型性能评估
XGBoost在CHARLS(AUC 0.7677)、SHARE(0.8577)、HRS(0.8771)和MHAS(0.7782)表现最优,而LightGBM在ELSA创下0.9011的AUC值。所有模型均通过ROC曲线和F1分数(0.5787-0.8942)验证,SMOTE处理使召回率显著提升。
关键预测因子识别

自评健康在四国队列中贡献度最高(SHAP值+0.50至+0.81),唯独墨西哥MHAS队列以性别(+0.31)为主导。慢性病状态、ADL/IADL(日常生活活动能力)功能限制及教育程度等构成次要预测层,但吸烟、饮酒等生活方式因素影响相对较弱。
收入与性别异质性

低收入群体中,家庭财富(+0.79)、就业状态和数字排斥(digital exclusion)的影响被放大;中等收入女性则因"夹心层效应"呈现独特风险模式——既缺乏高收入家庭的经济缓冲,又缺失低收入社区的社会支持网络。
这项发表于《npj Digital Medicine》的研究,首次通过机器学习全景式揭示抑郁症状的多维驱动机制。其创新性体现在三方面:一是突破传统线性模型局限,捕捉到自评健康作为"心理-生理整合器"的核心作用;二是发现数字排斥等新兴社会决定因素;三是构建出可迁移的预测框架,为各国制定差异化干预策略提供依据。例如针对墨西哥应侧重性别平等政策,而中国需加强低收入群体数字包容建设。研究也存在横断面设计难以推断因果、未纳入医疗政策等宏观因素的限制,未来需通过纵向追踪完善模型动态预测能力。
(注:全文严格依据原文数据,专业术语如ADL=Activities of Daily Living日常生活活动能力、IADL=Instrumental Activities of Daily Living工具性日常生活活动能力均按原文格式保留大小写和缩写)
生物通微信公众号
知名企业招聘