
-
生物通官微
陪你抓住生命科技
跳动的脉搏
基因年龄与多效性关系的跨物种研究揭示功能演化的保守模式
【字体: 大 中 小 】 时间:2025年08月06日 来源:Evolution Letters 3.7
编辑推荐:
本研究针对基因多效性(pleiotropy)随年龄变化的演化规律,通过分析六种模式生物(人类、小鼠、斑马鱼、果蝇、线虫和拟南芥)的基因组数据,揭示了多效性随基因年龄增长而增加的普遍模式。研究人员结合Orthologous Matrix数据库的直系同源基因分析和STRINGdb蛋白质互作网络,发现中老年基因比年轻基因具有显著更高的多效性水平,且该现象在不同功能类别基因中表现各异。这项发表于《Evolution Letters》的研究为理解基因功能演化提供了新视角,对解析复杂性状遗传基础和疾病机制具有重要意义。
在生命演化的长河中,基因如同经历沧桑的老者,不断积累着功能与故事。多效性(pleiotropy)这个神秘现象——单个基因影响多个性状的能力,一直是演化生物学的核心谜题。它既是创新的引擎,推动着新性状的诞生;又可能是束缚的枷锁,限制着基因的适应性演化。然而,关于多效性如何随时间变化的规律,科学界始终缺乏系统认识。范德堡大学(Vanderbilt University)的Reese Martin和Ann T. Tate团队在《Evolution Letters》发表的研究,通过跨物种比较分析,首次描绘了多效性与基因年龄关系的全景图谱。
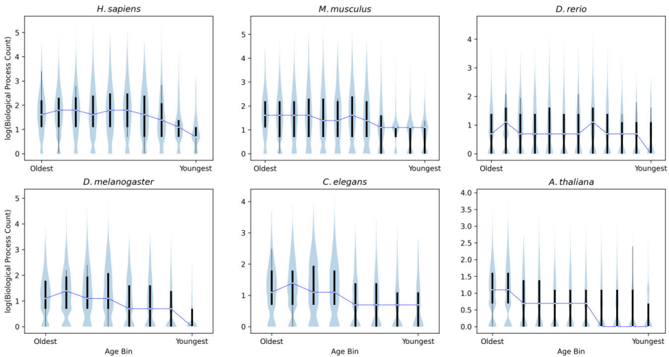
研究团队采用多组学整合策略:基于Open Tree of Life的进化树确定基因年龄,通过Orthologous Matrix数据库鉴定直系同源基因;运用STRINGdb分析蛋白质互作(PPI)网络,结合Gene Ontology的生物过程(BP)注释量化多效性程度。样本涵盖六种模式生物的超过12万条基因数据,包括人类(Homo sapiens)19,467个基因和小鼠(Mus musculus)21,128个基因等。

基因年龄与多效性正相关
跨物种分析揭示保守规律:年轻基因平均仅关联1-2个生物过程,而中老年基因可达数十个。人类和小鼠数据呈现"快速上升-平台期"模式,果蝇和拟南芥则呈阶梯式增长。蛋白质互作分析显示,古老基因如CAPN13虽仅标注"蛋白水解"单一功能,却拥有750+互作伙伴,提示功能复杂度与互作规模的解耦。
功能类别塑造多效性格局
代谢基因多效性最低,免疫基因(人类/小鼠)和发育基因(其他物种)最高。两因素ANOVA证实年龄和功能类别对多效性均有显著影响(p<2e-16)。特别值得注意的是,免疫系统基因展现出"多效性热点"特征,与既往关于免疫基因在疾病中广泛关联的发现相呼应。

基因复制未降低多效性
与传统理论预期相反,65.6%的人类复制基因比单拷贝基因表现出更高多效性。典型案例如小鼠MYOD1/MYF5基因对,虽分化出肌源性调控特异性,仍共享大量生物过程。研究者提出"部分亚功能化"解释此现象——复制基因通过剂量放大、备份补偿等机制维持多功能性。
这项研究建立了基因年龄-多效性关系的定量框架,揭示外适应(exaptation)在功能累积中的主导作用。发现具有三重意义:首先,为理解复杂性状遗传架构提供演化视角,阐明为何古老基因更易成为疾病相关位点;其次,修正了"复制导致功能分化"的经典认知,提出多效性维持的新机制;最后,跨物种保守性的发现暗示这是真核生物的基本演化规律。未来研究可拓展至单细胞生物,并探究自交物种(如线虫、拟南芥)独特的多效性积累模式是否与重组效率降低有关。这些发现将为合成生物学中的基因设计提供重要启示,指导人工调控多效性以优化生物系统性能。
生物通微信公众号
知名企业招聘