
-
生物通官微
陪你抓住生命科技
跳动的脉搏
远程监测与指导在血压管理中的效率:一项为期24个月的多中心随机对照试验
【字体: 大 中 小 】 时间:2025年08月07日 来源:BMC Medicine 8.3
编辑推荐:
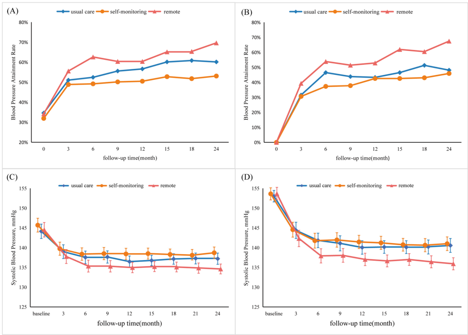
本研究针对高血压管理中患者依从性差和临床惰性等问题,通过多中心随机对照试验比较了远程监测、自我监测和常规护理三种血压管理模式的长期效果。结果显示,经过24个月干预,远程监测组收缩压显著降低2.7 mmHg(p=0.002),达标率达69.65%,且钙通道阻滞剂(CCBs)和利尿剂使用率更高。该研究为数字化高血压管理提供了高质量循证依据,证实远程监测能有效突破临床惰性,优化治疗方案。
高血压作为全球心血管疾病的首要危险因素,每年导致约1100万人死亡,但现有管理手段面临"白大衣高血压"误诊、患者依从性低等挑战。传统诊室血压测量(OBP)存在监测盲区,而单纯自我监测(self-monitoring)因缺乏专业指导效果有限。在此背景下,青岛大学附属心血管病医院的研究团队开展了一项开创性研究,通过24个月的多中心随机对照试验,首次在中国人群中系统评估了远程监测(remote monitoring)对血压控制的长期价值,相关成果发表在《BMC Medicine》。
研究采用三大关键技术:1)智能血压仪(Maibobo RBP-9801)自动上传数据的云平台系统;2)基于阈值触发的分级预警机制(收缩压≥135 mmHg触发橙色警报,≥175 mmHg触发红色警报);3)整合健康教育、专家视频会诊的"医疗之家"APP干预体系。纳入1006例原发性高血压患者,随机分为远程组(n=337)、自测组(n=337)和常规组(n=332),每3个月随访直至24个月。
主要结果:
血压变化趋势
远程组24个月时收缩压降低9.88±16.95 mmHg,显著优于常规组(差值-2.7 mmHg,95%CI -4.45~-0.96)。基线未达标亚组差异更显著(-4.79 mmHg,p<0.001)。

药物调整模式
远程组联合用药率达73.3%,显著高于常规组(62.8%),且钙通道阻滞剂(CCBs)和利尿剂使用率分别提高至75.2%和37.4%(p<0.05)。
亚组分析
在女性、糖尿病患者及基线收缩压≥160 mmHg人群中,远程干预效果尤为突出(p交互作用<0.05)。
研究结论指出,远程监测通过三重机制突破管理瓶颈:1)实时数据反馈减少临床惰性;2)动态药物调整优化治疗方案;3)数字化教育提升患者认知。该模式使血压达标率提升近10个百分点,尤其适合基层医疗资源匮乏地区。值得注意的是,单纯自我监测未显现优势,强调专业干预的必要性。
这项研究为高血压的精准管理提供了范式转变:将间歇性诊室评估升级为持续数字化管理,证实技术赋能可有效弥补传统医疗短板。未来需解决老年群体技术使用障碍,并探索更具成本效益的实施路径。
生物通微信公众号
知名企业招聘