
-
生物通官微
陪你抓住生命科技
跳动的脉搏
衰老与死亡统一理论:基于网络科学的Gompertz定律数学建模与机制解析
【字体: 大 中 小 】 时间:2025年08月08日 来源:Scientific Reports 3.9
编辑推荐:
本研究通过构建因果数学模型,创新性地将网络理论应用于衰老研究,解决了"分子损伤线性积累与死亡率指数增长(Gompertz定律)矛盾"这一生物学难题。研究人员采用Poisson过程模拟健康指标网络的动态演化,通过均值场近似和同质性假设,首次从网络科学角度完整推导出Gompertz定律的数学表达式,并阐明其适用边界。该理论为理解衰老机制提供了全新框架,对延寿医学研究具有重要指导价值。
人类对衰老本质的探索从未停止。1825年,精算师Benjamin Gompertz发现死亡率随年龄呈指数增长的现象(Gompertz定律),但一个多世纪以来,这个经验公式背后的生物学机制始终成谜。更令人困惑的是,现代分子生物学研究表明DNA甲基化、蛋白质糖氧化等分子损伤呈现线性积累趋势,这与死亡率曲线形成鲜明对比。如何统一解释这两种看似矛盾的现象,成为衰老研究领域的重大挑战。
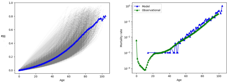
PwC(德国慕尼黑)联合阿姆斯特丹自由大学、莱顿大学等机构的研究团队在《Scientific Reports》发表突破性研究。通过构建动态网络模型,将健康指标(如血压、胆固醇等)抽象为网络节点,节点状态转换用Poisson过程描述,死亡定义为两个关键"死亡节点"同时受损。研究采用均值场近似处理节点间相互作用,结合同质性假设简化网络状态空间,最终解析推导出Gompertz定律的数学表达式m(t)≈αeβt,并确定其参数α、β与网络特征参数的函数关系。
关键技术包括:(1)构建尺度自由且负相关的健康指标网络模型;(2)应用Poisson过程定理证明节点状态转换的普适性;(3)开发均值场近似算法处理大规模网络交互;(4)采用蒙特卡洛模拟验证理论预测;(5)利用人类死亡率数据库(Human Mortality Database)进行模型校准。
【基本模型】部分建立了包含n个节点的健康网络,其中两个为死亡节点(红色),其余为衰老节点(黑色)。节点状态转换速率Γ+(i,t)=Γ0er+fi(t)和Γ-(i,t)=(Γ0/R)e-r-fi(t),其中fi(t)为节点i受损邻居比例。死亡时间τ定义为两个死亡节点首次同时受损的时刻。

【数学分析】部分通过Poisson定理证明:当节点状态转换由大量微观过程叠加时,宏观上必然表现为Poisson过程。采用均值场近似将局部邻居影响fi(t)替换为全局平均损伤分数p(t),导出微分方程dp(t)/dt=(1-p(t))A+(p(t))-p(t)A-(p(t))。通过状态聚合将网络简化为三态马尔可夫链,最终得到死亡率近似公式m(t)≈A+(p(t))χ(t)。
【模拟与数值结果】显示当参数r+=10.27,r-=6.5,R=1.5,Γ0=0.00113/年时,模型完美拟合美国男性2010-2019年死亡率数据,得出α≈5.8×10-5,β≈0.085/年。值得注意的是,损伤分数p(t)呈线性增长,成功统一了分子损伤线性积累与死亡率指数增长的表观矛盾。
【解析近似】部分推导出死亡率上下界:Γ02ter+Γ0t ? m(t) ? 2Γ02ter+Γ0t,证实β≈r+Γ0的关系。模拟显示死亡时平均损伤分数达66%-70%,验证了"三分之二法则"。
这项研究开创性地建立了衰老研究的网络理论范式,其重要意义在于:(1)首次从基本原理推导出Gompertz定律,证明其普适性;(2)解决了分子损伤线性积累与死亡率指数增长的长期矛盾;(3)提出的网络模型可扩展用于研究不同物种衰老模式;(4)为抗衰老干预提供量化评估框架。理论预测的"损伤临界阈值"概念可能成为未来延寿治疗的生物标记物,而网络参数与Gompertz参数的定量关系,则为个性化衰老风险评估开辟了新途径。
生物通微信公众号
知名企业招聘