
-
生物通官微
陪你抓住生命科技
跳动的脉搏
免疫检查点抑制剂治疗复发性铂耐药卵巢癌的疗效及外周血预测因子研究
【字体: 大 中 小 】 时间:2025年08月09日 来源:Journal of Ovarian Research 4.2
编辑推荐:
本研究针对复发性铂耐药卵巢癌患者免疫治疗响应率低、缺乏有效预测指标的临床难题,通过多中心回顾性分析71例接受PD-1/PD-L1抑制剂治疗患者的临床数据,结合13种炎症细胞因子检测和免疫组化分析,首次发现血清IFN-α2、IL-1β、IL-12p70和MCP-1水平与生存期显著相关,CRP>10是OS的独立预测因子,为优化免疫治疗方案提供了重要生物标志物。
卵巢癌作为妇科恶性肿瘤中的"沉默杀手",约70%患者确诊时已属晚期。尽管初始治疗有效,但高达80%患者会出现复发,其中铂类药物耐药成为临床治疗的主要瓶颈。传统化疗对铂耐药患者有效率不足30%,中位无进展生存期仅3-4个月。免疫检查点抑制剂(ICI)虽然在多种肿瘤中取得突破,但在卵巢癌的单药响应率仅为6-15%,亟需寻找有效的疗效预测指标。
中山大学肿瘤防治中心的研究团队针对这一临床挑战,开展了复发性铂耐药卵巢癌患者免疫治疗的疗效及预测因素研究。通过对71例接受抗PD-1治疗的铂耐药患者进行回顾性分析,结合多参数流式细胞术检测13种炎症细胞因子和免疫组化评估肿瘤微环境,发现ICI联合治疗的客观缓解率达36.62%,疾病控制率78.87%。研究首次揭示血清MCP-1水平与PFS和OS显著相关,高CRP(>10mg/L)是OS的独立负向预测因子。该成果发表于《Journal of Ovarian Research》,为优化铂耐药卵巢癌免疫治疗策略提供了重要循证依据。
研究采用三项关键技术方法:1)回顾性收集71例铂耐药患者临床资料,建立治疗反应数据库;2)使用LEGENDplex?多因子检测平台定量13种血清细胞因子;3)通过免疫组化分析CD8+T细胞浸润和PD-L1(CPS评分)表达。样本来源于中山大学肿瘤防治中心2017-2022年收治患者。
研究结果显示:
患者特征与治疗反应:中位年龄52岁,64.79%为高级别浆液性癌。ICI联合抗血管生成治疗占比84.51%,ORR显著优于历史数据。PD-L1阳性患者呈现更高DCR趋势(但p>0.05)。

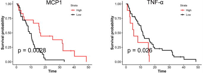
细胞因子与生存关联:高IFN-α2(>0.98pg/mL)、IL-1β(>24.47pg/mL)、IL-12p70(>1.87pg/mL)患者OS显著延长(p<0.05)。MCP-1>390.58pg/mL组PFS和OS均改善,而TNF-α低水平者PFS更优。

多因素分析:CRP>10mg/L(HR=2.756,p=0.034)是OS独立预测因子。年龄>55岁、LDL-C>2.2mmol/L、MCP-1高水平及TNF-α低水平构成PFS预测模型。
后续治疗发现:免疫治疗进展后接受含铂化疗的患者仍有55.56%达到PR,提示ICI可能重塑铂类药物敏感性。
讨论部分指出,该研究首次系统评估了外周血细胞因子谱与铂耐药卵巢癌免疫疗效的关系。MCP-1的"矛盾性"保护作用可能与促炎/抗炎因子网络平衡有关。CRP作为易获取的临床指标,其预测价值具有重要转化意义。研究局限性包括样本量较小和PD-L1检测不统一。未来需开展前瞻性研究验证MCP-1等指标的预测效能,并探索ICI逆转铂耐药的分子机制。
这项研究为铂耐药卵巢癌的精准免疫治疗提供了新思路:通过外周血细胞因子动态监测可早期预测疗效;特定炎症因子谱或成为患者分层的新标准;免疫治疗序贯含铂方案可能成为临床实践新模式。研究成果对改善卵巢癌患者预后具有重要临床价值。
生物通微信公众号
知名企业招聘