
-
生物通官微
陪你抓住生命科技
跳动的脉搏
"聚焦指数:COVID-19相关ARDS患者形态学亚型定量的创新工具——一项探索性研究"
【字体: 大 中 小 】 时间:2025年08月10日 来源:Intensive Care Medicine Experimental 3.1
编辑推荐:
本研究针对急性呼吸窘迫综合征(ARDS)形态学分类的主观性问题,开发了基于CT的定量指标"聚焦指数(Focal Index)"。通过分析36例COVID-19 ARDS患者的HU分布差异,发现传统"弥漫性损伤"中存在连续谱系变化,该指数与膈背侧非通气区域显著相关(r=0.67),为机械通气个性化设置提供了客观量化工具。
在重症监护领域,急性呼吸窘迫综合征(ARDS)的治疗如同走钢丝——呼吸机设置过高可能导致气压伤,过低又无法维持氧合。这种两难境地背后,是肺部损伤形态的巨大异质性。传统上,临床医生通过肉眼判读CT图像将ARDS简单分为"局灶性"和"弥漫性"两种类型,分别对应不同的通气策略。但这种"非黑即白"的分类方式存在致命缺陷:不同专家对同一图像的判断一致性仅65%,而错误分类会使患者死亡率显著升高。
瑞典乌普萨拉大学医院(Uppsala University Hospital)重症医学科与Hedenstierna实验室的研究团队在《Intensive Care Medicine Experimental》发表的研究,揭示了这一临床困境的深层原因。通过分析COVID-19 ARDS患者的CT数据,研究人员发现所谓的"弥漫性损伤"实际上包含从均匀到高度异质的连续谱系。这解释了为何基于主观判断的治疗方案常常失效——因为自然界本就不存在绝对的二分法。
研究采用三项关键技术:1) 九分区HU分析法,将肺部分为三个轴向(顶-隔)和三个重力区(腹-背)共9个三维区域;2) 聚焦指数计算公式,通过积分腹顶区与膈背区的HU分布曲线非重叠面积量化异质性;3) 双盲专家验证,由3位ICU专家独立评估图像分类一致性。
【CT图像分析】
研究团队开发了创新的九宫格分析法:沿头尾轴将18层CT图像分为顶、纵隔、膈三个水平,每个水平再按重力梯度分为腹、中、背三区。这种设计巧妙捕捉了肺内压力梯度的生物学特征。通过半自动分割技术提取各区域HU直方图,发现传统"弥漫性"患者的聚焦指数跨度达25-175(均值95.5±42.8),证明所谓"弥漫"实为连续谱系。

【聚焦指数验证】
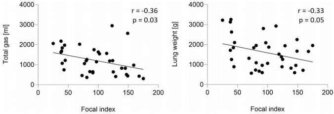
该指数与膈背侧非通气区域呈强正相关(r=0.67, p<0.01),与总气体量负相关(r=-0.36, p=0.03)。值得注意的是,通气参数(PEEP、潮气量等)对指数无显著影响,说明形态特征主要由疾病本身决定。专家验证环节中,36/37例"弥漫性"患者的CT经聚焦指数分析后,显示出被主观评估掩盖的异质性谱系。

【临床意义】
这项研究打破了ARDS形态学分类的二元论桎梏,提出三点革新认知:1) 肺损伤异质性存在连续谱系,传统分类可能遗漏中间型患者;2) 膈背侧塌陷比腹顶区过度充气更能预示形态转变;3) 聚焦指数可客观量化这种异质性,不受呼吸机设置干扰。未来研究需在非COVID ARDS中验证该指数,并建立指导治疗的临界值——例如指数<50可能适合高PEEP策略,>150则优先考虑俯卧位。

这项来自瑞典的突破性研究,为ARDS精准治疗提供了数学基础。当临床医生下次面对CT图像时,或许不再需要纠结"是黑是白",而是通过聚焦指数这个"灰度计",为每位患者找到最合适的"灰色地带"治疗方案。
生物通微信公众号
知名企业招聘