
-
生物通官微
陪你抓住生命科技
跳动的脉搏
基因组水平解析意大利乳用绵羊品种海拔适应性的选择信号
【字体: 大 中 小 】 时间:2025年08月10日 来源:Scientific Reports 3.9
编辑推荐:
本研究针对气候变化背景下家畜适应性遗传机制这一重要科学问题,通过全基因组选择信号分析技术(iHS和Rsb),系统研究了意大利两大乳用绵羊品种Sarda(SAR)和Valle del Belice(VDB)在平原、丘陵和山地三种海拔梯度下的遗传适应特征。研究发现X染色体上表观调控因子KDM6A基因在两种绵羊中均呈现强烈选择信号,山地生态型特异性筛选出与神经系统发育、能量代谢和肌肉功能相关的多效性基因(如ANKS1B、IGF-1、NAV3等)。该研究首次揭示了神经内分泌机制在绵羊高山适应中的核心调控作用,为家畜气候适应性育种提供了重要分子靶点。
随着全球气候变化加剧,家畜如何通过遗传适应应对环境压力成为畜牧科学的核心议题。绵羊作为最早被驯化的家畜之一,在长期自然选择中形成了丰富的地理生态型,成为研究环境适应的理想模型。意大利两大乳用绵羊品种Sarda和Valle del Belice在岛屿特殊地理环境下分化出平原、丘陵和山地生态型,其中山地型表现出显著的生产性能差异和更强的环境耐受力,但其分子机制始终未明。
巴勒莫大学(University of Palermo, Italy)的研究团队在《Scientific Reports》发表的最新研究中,采用基因组学手段揭示了这一奥秘。研究人员首先对653只来自不同海拔(平原≤200m、丘陵350-450m、山地>700m)的绵羊进行Illumina OvineSNP50 BeadChip基因分型,通过严格的质控筛选获得266只SAR和258只VDB样本数据。运用两种基于扩展单倍型纯合性(EHH)的分析方法——群体内整合单倍型评分(iHS)和群体间比较标准化对数比(Rsb),系统检测了海拔相关的选择信号。
关键技术包括:1)基于滑动窗口的全基因组选择信号扫描(1Mb窗口/50kb步长);2)通过fastPHASE进行单倍型重构;3)利用Ensembl VEP进行变异功能注释;4)跨生态型比较分析策略。特别值得注意的是,研究确保所有样本均来自三代以上同海拔环境饲养的群体,有效避免了近期基因流干扰。
选择信号分析揭示X染色体热点
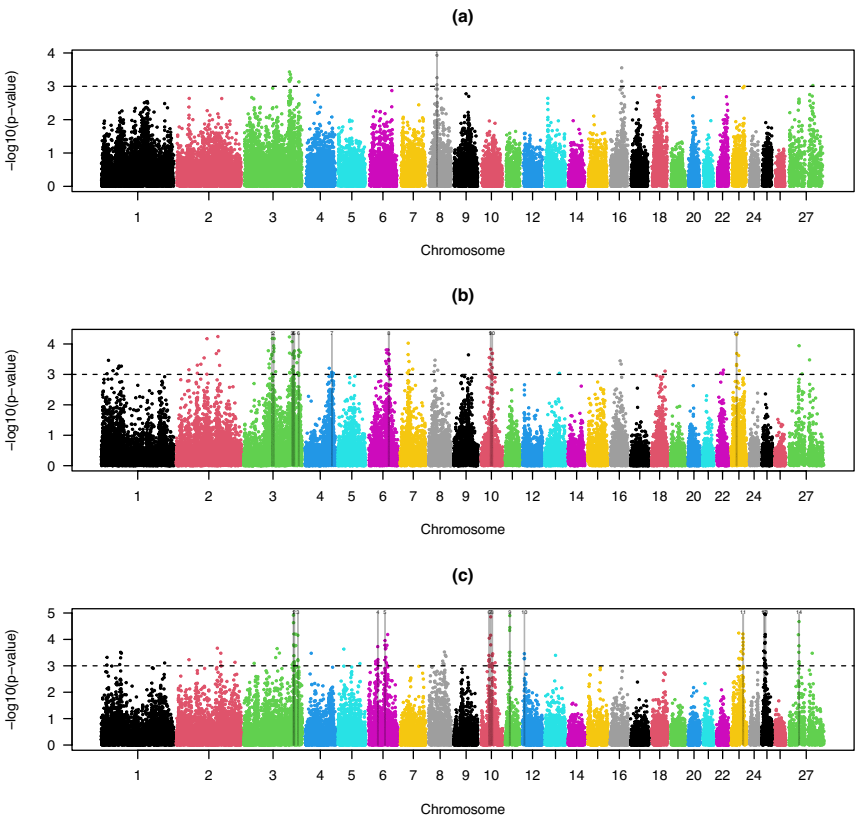
全品种联合分析发现X染色体40.4-45.9Mb区域存在最强选择信号,其中组蛋白去甲基化酶KDM6A基因在两种绵羊中均呈现显著选择特征。如图1所示,山地生态型特有的长单倍型结构提示该基因可能通过调控乳腺发育和缺氧应激响应参与海拔适应。

山地生态型特异性适应机制
在SAR山地型中,染色体3上166.2-174.3Mb区域聚集了ANKS1B、IGF-1等神经发育和生长调控基因。如图2所示,ANKS1B基因衍生等位基因在山地型中呈现典型选择清除模式,其编码的突触蛋白可能通过调控能量代谢和行为可塑性促进高山适应。

VDB山地型则表现出独特的神经内分泌适应通路,包括:1)TRHDE基因变异可能通过维持促甲状腺激素释放激素水平增强冷适应;2)电压门控钾通道基因KCNV1和神经导航蛋白NAV3基因簇参与神经可塑性调控;3)EPHA5和SYT1等突触相关基因支持高海拔环境下的神经传导效率。
跨品种保守适应通路
研究发现了若干跨品种保守的选择靶点:1)昼夜节律调控因子BMAL2(ARNTL2)通过协调缺氧响应参与适应;2)肌肉特异性基因LARGE1和CADPS2共同影响运动能力;3)胶原基因COL5A2/COL3A1可能增强结缔组织抗寒能力。这些发现如图3-5的Rsb分析结果所示,证实了高山适应的多基因协同机制。

结论与展望
该研究通过多维度基因组分析首次系统描绘了乳用绵羊海拔适应的遗传蓝图,主要得出三大结论:1)表观调控因子KDM6A是绵羊环境适应的关键枢纽基因;2)神经内分泌系统通过HPA轴(下丘脑-垂体-肾上腺轴)整合生长、代谢和应激响应;3)山地生态型进化出独特的"神经-肌肉-能量"协同适应网络。这些发现不仅为理解家畜环境适应提供了新理论框架,更重要的是为培育气候韧性绵羊品种指明了分子育种方向。未来研究可通过转录组验证候选基因功能,并将适应性单倍型纳入基因组选择指数,助力可持续畜牧业发展。


生物通微信公众号
知名企业招聘