
-
生物通官微
陪你抓住生命科技
跳动的脉搏
血尿素氮与白蛋白比值(BAR)在重症充血性心力衰竭患者中的独立预后价值
【字体: 大 中 小 】 时间:2025年08月17日 来源:Scientific Reports 3.9
编辑推荐:
本研究针对重症监护病房(ICU)中充血性心力衰竭(CHF)患者的预后评估难题,通过分析MIMIC-IV数据库中4506例患者数据,首次证实血尿素氮与白蛋白比值(BAR)是1年全因死亡率的独立预测因子。研究发现,BAR≥12.69 mg/g时死亡风险显著增加(HR 1.37,95% CI 1.18~1.57),尤其在肝肾功能相对保留的患者中预测价值更优。BAR的预测效能优于单独的血尿素氮(BUN)或白蛋白(Alb),且与两者联合指标相当(AUC 0.642),为临床提供了一种简便、经济的风险分层工具。
在心血管疾病领域,充血性心力衰竭(CHF)作为各类心脏疾病的终末阶段,其5年生存率始终徘徊在50%左右。当患者病情恶化进入ICU时,1年死亡率更是高达20-30%。尽管近年来涌现出多种风险评估工具,但复杂的计算流程和有限的预测精度限制了其临床应用。更棘手的是,CHF患者常合并肝肾功能异常、营养不良等多系统问题,传统单一指标如血尿素氮(BUN)或白蛋白(Alb)难以全面反映这种复杂的病理生理状态。
针对这一临床困境,重庆医科大学附属永川医院呼吸与危重症医学科的研究团队开展了一项突破性研究。他们创新性地将BUN与Alb整合为血尿素氮与白蛋白比值(BAR),通过对MIMIC-IV数据库中4506例ICU收治的CHF患者进行多维度分析,发现BAR不仅能独立预测1年全因死亡率,还在肝肾功能相对保留的患者中展现出更强的预后价值。这项发表在《Scientific Reports》的研究,为临床医生提供了一把评估CHF患者风险的"双刃剑"——既能捕捉肾灌注不足(通过BUN),又能反映炎症和营养状态(通过Alb)。
研究团队采用多中心回顾性队列设计,从MIMIC-IV v2.2数据库中筛选出符合标准的CHF患者。关键技术方法包括:1)基于APS III和SOFA评分进行疾病严重程度分层;2)运用限制性立方样条(RCS)模型分析BAR与死亡率的剂量-效应关系;3)通过受试者工作特征(ROC)曲线比较BAR与单独BUN、Alb的预测效能;4)采用多变量Cox比例风险模型调整年龄、性别、SOFA评分等混杂因素。
分析显示,高BAR组(T3)患者具有更差的临床特征:中性粒细胞(8.52 vs 9.26×109/L)、SOFA评分(5.14 vs 8.10)和APS III评分(45.67 vs 69.24)显著升高,而血红蛋白(11.79 vs 9.93 g/dL)和白蛋白(3.49 vs 3.02 g/dL)明显降低。这类患者更多接受正性肌力药物(33.6% vs 45.6%)和持续肾脏替代治疗(CRRT)(1.6% vs 15.0%),1年死亡率高达56.4%,是低BAR组的1.93倍。

RCS分析揭示BAR与死亡率呈非线性正相关(p非线性=0.002),拐点为12.69 mg/g。低于该阈值时,每增加1 mg/g死亡风险上升4%(HR 1.04);超过阈值后风险趋于平稳。这种"饱和效应"提示BAR对轻中度异常患者的风险识别更具价值。

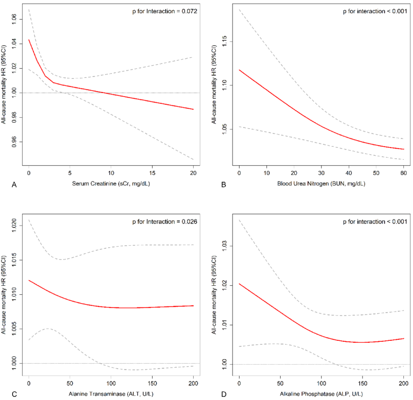
在血清肌酐(p交互=0.072)、ALT(p交互=0.026)较低的患者中,BAR的预后价值尤为突出。这可能是因为严重肝肾功能损害本身已构成明确危险因素,而BAR更能识别"看似正常"群体中的残余风险。
在180天和360天两个时间点,BAR的AUC(0.642)显著高于单独BUN(△AUC 0.028)或Alb(△AUC 0.027),且与两者联合指标相当(p>0.05)。这种"1+1≥2"的效果使BAR成为理想的床边快速评估工具。
这项研究确立了BAR作为CHF患者预后评估的新标准:当BAR超过12.69 mg/g时,患者1年死亡风险增加37%(HR 1.37)。其独特价值在于整合了两种病理生理机制——BUN反映的肾灌注不足和神经内分泌激活,Alb表征的炎症状态和营养状况。特别值得注意的是,BAR在左心室射血分数(LVEF)数据缺失24%的情况下仍保持稳定预测力,显示出良好的临床适用性。
从临床转化角度看,BAR的测量仅需常规生化检测,无需额外费用,这对医疗资源分布不均的地区尤为重要。研究者特别指出,BAR可能成为监测治疗反应的动态指标:当利尿剂改善肾灌注时BUN下降,抗炎治疗起效时Alb回升,这些变化都能通过BAR值的变化直观体现。未来研究可探索BAR指导下的个体化治疗策略,如对高BAR患者早期启动肾脏保护或营养干预方案。

该研究的局限性在于未能纳入B型利钠肽(BNP)这一重要指标(80%数据缺失),且未能区分CHF是否为ICU入主因。但正如Jingxiang Yang等作者强调的,BAR的价值恰恰体现在常规临床场景中——当复杂检查不可及时,一个简单的比值就能为危重患者的命运提供关键预警。
生物通微信公众号
知名企业招聘