
-
生物通官微
陪你抓住生命科技
跳动的脉搏
新加坡浑浊海域珊瑚Pachyseris speciosa的光生理响应机制:间歇性光照与完全黑暗条件下的光合适应与白化研究
【字体: 大 中 小 】 时间:2025年08月19日 来源:Coral Reefs 2.9
编辑推荐:
针对沿海开发导致的光照限制威胁,研究人员通过模拟新加坡浑浊海域的间歇性光照和完全黑暗条件,开展为期四周的珊瑚Pachyseris speciosa光生理学研究。结果表明,完全黑暗导致严重白化(Symbiodiniaceae密度下降70%),而间歇性光照下珊瑚通过提高有效量子产额(EQY)和降低饱和辐照度(Ek)实现光适应,维持PSII最大量子产额(MQY)稳定。该研究首次揭示珊瑚对极端低光环境的耐受阈值,为浑浊海域珊瑚保护提供科学依据。
在城市化进程加速的今天,沿海开发活动导致的海水浑浊化正严重威胁珊瑚礁生态系统。新加坡海域便是典型代表——过去60年间,水下能见度从10米骤降至不足2米,沉积物速率飙升10倍。这种"水下雾霾"不仅遮挡阳光,更迫使珊瑚与共生虫黄藻(Symbiodiniaceae)面临能量危机。光照是珊瑚-虫黄藻共生关系的基石,当光合有效辐射(PAR)持续不足时,珊瑚会出现"光饥饿",导致白化、生长停滞甚至死亡。
然而,自然界总有奇迹。在能见度不足2米的新加坡浑浊海域,片状珊瑚Pachyseris speciosa却成为优势种,占据20%以上的珊瑚覆盖率。这种珊瑚如何在"水下黑夜"中维系光合作用?能否应对未来可能更严酷的光照限制?这些问题不仅关乎珊瑚的生存智慧,更对预测城市化进程中的珊瑚礁命运具有关键意义。
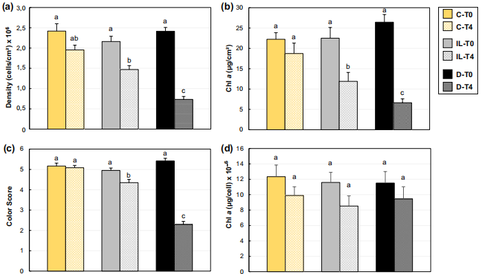
研究团队从新加坡龟屿岛5-7米深海域采集4株P. speciosa,在模拟自然光强(35 μmol m-2 s-1)的水族系统中驯化2个月后,设置三种处理:对照组(C)、间歇性光照组(IL,每周5天黑暗+2天光照)和完全黑暗组(D)。通过潜水用脉冲振幅调制荧光仪(DIVING-PAM)测量光系统II(PSII)的最大量子产额(MQY)、有效量子产额(EQY)等参数,结合虫黄藻密度计数、叶绿素a含量测定和珊瑚色卡评分,系统评估珊瑚的光生理响应。
完全黑暗处理导致珊瑚遭遇"能量雪崩":虫黄藻密度锐减70%,叶绿素a含量下降75%,色卡评分从5分(健康)暴跌至2分(严重白化)。相比之下,间歇性光照组仅出现轻度组织褪色(色卡评分降1分),虫黄藻密度和叶绿素a分别减少32%和47%。值得注意的是,单位虫黄藻细胞的叶绿素a含量在所有处理中保持稳定,暗示珊瑚可能通过调控共生藻数量而非单个藻细胞色素浓度来适应光限制。

完全黑暗组珊瑚的光系统II最大量子产额(MQY)下降17%,显示光合机构受损。而间歇性光照组则展现出惊人的适应力:在维持MQY稳定的同时,有效量子产额(EQY)飙升86%,饱和辐照度(Ek)降低41%,形成"低光高效"的光合模式。与之对比,黑暗处理导致光合效率参数α值骤降53%,反映其光合机构功能失调。

非度量多维标度(nMDS)显示,间歇性光照组通过提升EQY和降低Ek形成独特的光适应表型,而黑暗组则因白化参数与光合参数同步恶化在分析图中显著偏离。
这项发表于《Coral Reefs》的研究首次揭示:P. speciosa能通过"间歇性能量储备"策略应对极端低光——在光照窗口期最大化光能捕获(EQY提升),在黑暗期降低能量消耗(Ek下降),从而避免完全黑暗导致的"能量破产"。尽管四周期黑暗处理未造成珊瑚死亡,但严重白化预示长期黑暗将不可持续。
该发现对浑浊海域珊瑚保护具有双重启示:首先,P. speciosa可作为新加坡海域生态修复的"旗舰物种";其次,沿海开发应避免连续多日的沉积物排放,间歇性扰动更利于珊瑚适应。研究团队特别强调,实际环境中伴随沉积的物理损伤可能加剧光限制效应,未来需开展多因子胁迫研究。这项成果为理解珊瑚在"城市化海洋"中的生存极限提供了关键数据,也为全球浑浊海域的珊瑚礁管理树立了新标尺。
生物通微信公众号
知名企业招聘