
-
生物通官微
陪你抓住生命科技
跳动的脉搏
腹腔镜切除直肠固定术改善梗阻性排便综合征(ODS)患者功能与心理状态的多中心研究
【字体: 大 中 小 】 时间:2025年08月19日 来源:Scientific Reports 3.9
编辑推荐:
本研究针对梗阻性排便综合征(ODS)患者普遍存在的抑郁焦虑等心理健康问题,由德国科隆大学教学医院Evangelisches Klinikum Koeln Weyertal的研究团队通过前瞻性队列设计,评估了108例接受腹腔镜切除直肠固定术患者的临床和心理评分变化。结果显示手术显著改善排便功能评分(Altomare评分、直肠毒性评分和Wexner失禁评分),同时抑郁症状明显缓解(PHQ-9评分改善),为ODS的多学科治疗提供了重要循证依据。
排便困难、需要手动辅助排便、反复尝试却始终感觉排不干净——这些困扰着全球10%-25%人口的梗阻性排便综合征(ODS)症状,不仅造成生理痛苦,更让患者陷入"如厕焦虑"的心理困境。现有研究表明,ODS患者常伴随盆底肌协调障碍或解剖结构异常,而长期的功能障碍往往导致抑郁焦虑等心理健康问题,形成恶性循环。然而,关于手术治疗如何影响这类患者心理状态的系统性研究却十分匮乏。
德国科隆大学教学医院Evangelisches Klinikum Koeln Weyertal的Claudia Rudroff等研究人员在《Scientific Reports》发表了一项开创性研究,通过对108例接受腹腔镜切除直肠固定术联合盆底修复术的ODS患者进行为期6个月的追踪,首次全面评估了手术干预对患者排便功能和心理健康状态的改善效果。研究采用标准化的临床评分量表(Altomare评分、直肠毒性评分和Wexner失禁评分)和心理评估工具(PHQ-9抑郁量表和GAD-7焦虑量表),在术前和术后6个月分别进行测评。
研究团队采用了多项关键技术方法:1)标准化诊断流程包括磁共振排粪造影(MRI-D)和盆底功能评估;2)统一的腹腔镜切除直肠固定术手术方案;3)前瞻性收集108例连续病例的临床与心理数据;4)使用验证量表进行标准化评估。所有患者均来自该院三级盆底功能中心(POC),并经过多学科团队讨论确定手术指征。
【患者特征】
研究纳入的108例患者中女性占87%(94例),男性13%(14例),中位年龄57岁。值得注意的是,男性患者虽然数量较少,但表现出更严重的心理症状(PHQ-9中位11分 vs 女性6分),且年龄显著更轻(p=0.032)。
【术前临床与心理健康评分】
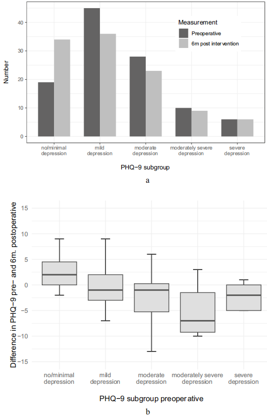
术前评估显示惊人的心理负担:82.5%患者存在至少轻度抑郁症状(PHQ-9≥5),55.6%有焦虑症状(GAD-7≥5)。临床评分与心理症状显著相关,Altomare评分在抑郁程度更重的患者中更高(p<0.001)。

【手术结果】
所有手术均顺利完成,无中转开腹。中位手术时间247分钟,女性因需同时行盆底重建而时间更长(p<0.001)。并发症发生率11.2%,主要为轻微并发症(CDC 1-3a)。
【术后临床改善】
术后6个月,所有排便功能评分均显著改善:Altomare评分从12分降至9分(p<0.001),直肠毒性评分从14分降至10分(p<0.001),Wexner失禁评分从8分降至6分(p<0.001)。临床改善程度与心理症状缓解呈正相关。

【心理健康变化】
抑郁症状显著改善(PHQ-9从9分降至8分),有临床意义抑郁症状的患者比例从82.5%降至67.6%。焦虑症状改善较轻微(GAD-7从7分降至7分)。值得注意的是,抑郁改善最显著的是术前中度抑郁组(p=0.028)。

这项研究首次系统证实了腹腔镜切除直肠固定术对ODS患者心理健康的积极影响,特别是对抑郁症状的改善作用。研究揭示了几个关键发现:1)ODS患者心理负担被严重低估,尤其是男性患者;2)临床症状严重程度与心理症状直接相关;3)手术改善排便功能的同时能显著缓解抑郁症状;4)术前心理状态不影响手术效果,但术后心理改善与临床效果正相关。
这些发现对临床实践具有重要指导意义:首先,强调了对ODS患者进行常规心理筛查的必要性;其次,证实手术治疗在改善生理症状的同时也能带来心理健康获益;最后,提示需要建立多学科协作的治疗模式。研究也指出,焦虑症状改善有限可能反映其特质性特征,这为后续研究指明了方向——需要区分状态焦虑和特质焦虑,并探索针对性干预措施。
该研究的局限性在于缺乏对照组和更详细的精神疾病诊断信息。作者建议未来研究应结合结构化精神科访谈,并探索其他可能的精神共病如躯体形式障碍等。这些发现为ODS的整合医学管理模式提供了重要依据,强调生理-心理双重干预的必要性。
生物通微信公众号
知名企业招聘