
-
生物通官微
陪你抓住生命科技
跳动的脉搏
蚯蚓调控下能量作物凋落物对土壤CO2、N2O和N2排放的影响机制研究
【字体: 大 中 小 】 时间:2025年08月21日 来源:Plant and Soil 4.1
编辑推荐:
本研究通过32天室内培养实验,结合15N气体通量法,揭示了蚯蚓(Lumbricus terrestris)活动如何通过促进杯菊(Silphium perfoliatum)和玉米(Zea mays)凋落物的分解,显著增加土壤CO2排放并改变氮素转化路径。研究发现蚯蚓使N2O+N2通量提升3-7倍,且降低反硝化产物比(N2Oi),为理解多年生能源作物系统中碳氮循环的生态权衡提供了新见解。
研究背景与科学问题
在全球气候变化背景下,多年生能源作物如杯菊(Silphium perfoliatum)因其低投入高效益特性备受关注。然而,这类作物凋落物的大量脱落可能通过改变土壤生物地球化学过程影响温室气体排放。尤其当凋落物与关键土壤工程师——蚯蚓相互作用时,可能形成碳氮转化的"热点",但相关机制尚不明确。现有研究多关注新鲜植物残体,而对凋落物成熟度影响的认知存在空白,特别是高碳氮比(C/N=63.9)的杯菊凋落物与较低C/N(30.1)的玉米凋落物在蚯蚓作用下的差异响应机制亟待揭示。
研究方法与技术路线
研究采用室内培养实验(32天,15°C),以粉壤土为基质,通过15N气体通量法在低氮气氛下测定CO2、N2O和N2排放。实验设置7个处理(含对照),分别添加3g/6g杯菊或3g玉米凋落物,接种L. terrestris蚯蚓(122.8条/m2)。采用气相色谱(GC)和同位素比值质谱(IRMS)分析气体通量及同位素组成,结合KCl提取法测定土壤NH4+和NO3-动态。
主要研究结果
凋落物移除与CO2排放
蚯蚓使玉米和杯菊凋落物表面移除率分别提高5倍和3倍(

氮转化与气体排放
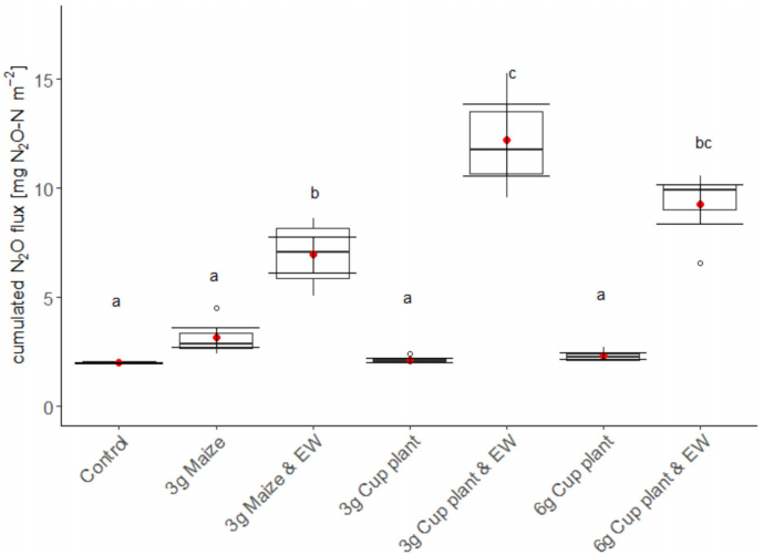
蚯蚓显著提升N2O+N2通量(3g杯菊处理达140.39 mg N m-2),且使N2Oi从0.4-0.47降至0.08-0.11(

土壤氮素动态
蚯蚓粪中NH4+含量较周围土壤高6-20倍(

结论与意义
研究首次阐明蚯蚓通过物理搬运和微生物活化双重机制,将高C/N凋落物转化为反硝化底物,导致N2排放量远超N2O(N2/N2O比达12:1)。这一发现挑战了传统C/N比预测模型,揭示凋落物成熟度与土壤动物互作对氮损失的调控作用,为优化多年生能源作物管理以减少温室气体排放提供理论依据。成果发表于《Plant and Soil》,对发展气候智能型农业具有重要指导价值。
生物通微信公众号
知名企业招聘