
-
生物通官微
陪你抓住生命科技
跳动的脉搏
量子波包在非绝热与耗散环境中的加速保护传输机制研究
【字体: 大 中 小 】 时间:2025年08月21日 来源:Nature Communications 15.7
编辑推荐:
研究人员针对量子波包在浅势阱中传输时面临的非绝热泄漏和耗散难题,提出创新性控制策略AC-QUDIT(加速控制量子耗散传输)。通过优化波包轨迹加速度,该方法在Fr?lich型耦合的BEC(玻色-爱因斯坦凝聚体)环境中实现超音速传输,保真度显著高于传统STA(绝热捷径)方案。该成果发表于《Nature Communications》,为原子/离子囚禁、分子反应等开放量子系统的高效操控提供新范式。
在量子科技领域,如何实现不稳定量子波包的高保真传输始终是重大挑战。就像服务员托着满溢的酒杯穿过拥挤大厅(

为解决该难题,Arnab Chakrabarti团队在《Nature Communications》提出革命性的AC-QUDIT方法。通过建立含Fr?lich耦合的非马尔可夫系统-环境模型(

关键技术包括:1)构建含Morse势阱的开放系统哈密顿量;2)基于Loschmidt回波设计保真度优化目标函数;3)通过有限时间傅里叶变换分析功率谱密度;4)在BEC环境中验证超音速(v>c)传输方案。
建立移动势阱V[x-x?(t)]与玻色子浴耦合的哈密顿量,证明系统-环境相互作用项e-ikx超出Lamb-Dicke极限时会产生速度依赖的频率调制效应。
通过优化加速度轨迹使J[x?,??]泛函最小化,线性化控制方程显示:当速度v(t)<>s=(ωεn+Ωk)/k时,加速度通过ζ(t)和?(t)项同时过滤非绝热与耗散噪声谱。
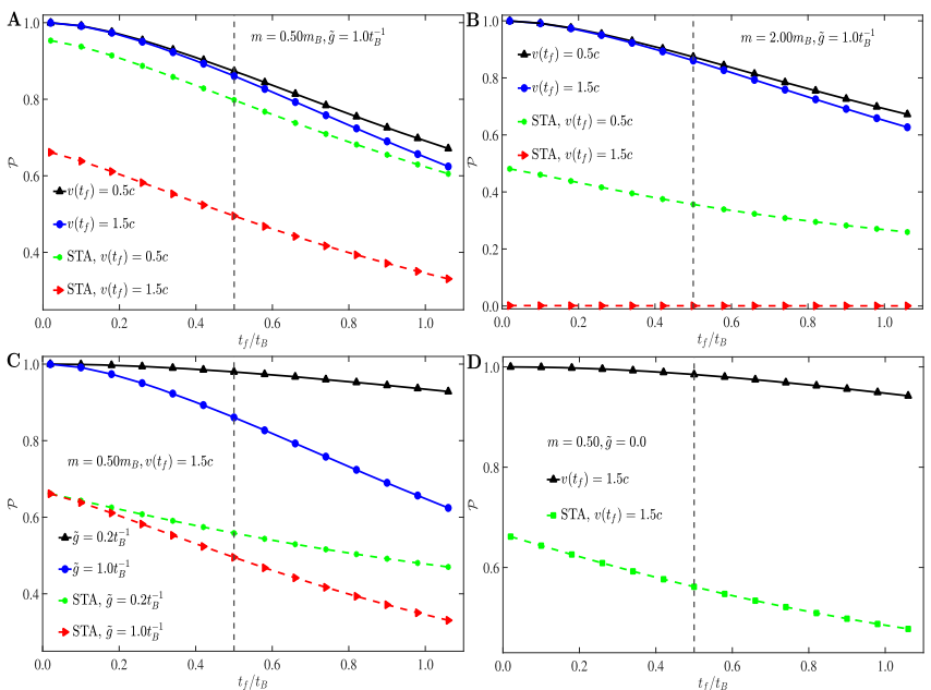
CDF(反绝热场)会引入加速度功率谱项m2|Dnε|2|v?tf(ωεn)|2,导致在m=0.5mB、v(tf)=1.5c条件下AC-QUDIT保真度比STA提高23%(图3C)。
在tB=ξ/√2c时间尺度下,轻杂质(m=0.25mB)在强耦合(g?=1.0tB-1)时仍保持95%传输效率(图2B),且最优加速度曲线呈现非线性脉冲特征(图2D插图)。
该研究开创性地将Kofman-Kurizki非马尔可夫控制理论推广至连续变量系统,为原子钟制冷、离子囚禁传输等应用提供新思路。特别值得注意的是,即使在没有环境耗散的真空传输中(图3D),AC-QUDIT仍能通过抑制"有效噪声浴"实现优于STA的操控精度,这一发现将推动量子传感与量子信息处理技术的革新。
生物通微信公众号
知名企业招聘