
-
生物通官微
陪你抓住生命科技
跳动的脉搏
胶质瘤微环境中midkine(MDK)表达与多组学特征的协同变化及其在免疫调控中的关键作用
【字体: 大 中 小 】 时间:2025年08月22日 来源:Scientific Reports 3.9
编辑推荐:
本研究聚焦胶质母细胞瘤(GBM)中midkine(MDK)的多维作用,通过整合1017例胶质瘤RNA-Seq数据、单细胞测序及功能实验,揭示了MDK表达随肿瘤级别升高而增强的规律,其高表达与IDHwildtype GBM患者不良预后显著相关。研究发现MDK通过诱导巨噬细胞分泌CCL17、PD-L1等免疫抑制因子重塑肿瘤微环境,为75%的GBM患者提供了潜在治疗靶点。
胶质母细胞瘤(GBM)作为成人最常见的恶性脑肿瘤,患者中位生存期仅16个月,数十年来治疗进展停滞不前。这种困境源于肿瘤的浸润性生长、异质性及免疫抑制微环境。近年来,一种名为midkine(MDK)的肝素结合生长因子引起关注——它在胚胎发育中活跃,成年后仅低水平表达,却在多种癌症中异常高表达。既往研究表明MDK可能通过激活ALK/Notch等通路促进GBM干细胞特性,但其在肿瘤微环境中的全局作用仍不清晰。
为系统解析MDK的临床意义,Mieszko Lachota团队整合了TCGA、CGGA等四大队列的1017例胶质瘤数据,结合原代GBM细胞培养和单细胞测序,首次绘制了MDK从转录本选择到免疫调控的全景图谱。研究发现:
关键技术方法
多中心队列整合:TCGA-GBM、TCGA-LGG、CGGA等数据集经ComBat_seq校正批次效应,形成1017例标准化队列
原代模型构建:12例GBM患者新鲜肿瘤组织建立原代球状培养体系
功能验证:Luminex检测巨噬细胞在MDK刺激下的21种细胞因子分泌谱
单细胞解析:28例GBM患者的7930个单细胞转录组分析MDKpositive细胞特征
主要研究结果
MDK表达与异构体选择
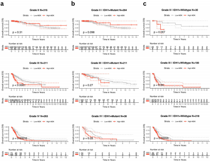
• 分级相关性:IDHwildtype胶质瘤中MDK表达随级别升高而递增,GBM达峰值(图1a)
• 异构体进化:ENST00000395566(含完整功能域)占比从健康组织的78%升至GBM的92%(图1b)
• 分泌验证:原代GBM细胞分泌MDK达2049 pg/ml/106细胞,显著高于U87等细胞系(图2c)
临床预后价值
• 生存分层:MDKhigh组占GBM病例75%,中位生存期显著缩短(HR=1.94, p<0.001)(图3b-c)
• 特异性关联:预后相关性仅在IDHwildtype GBM中显著
微环境重塑机制
• 单细胞特征:MDKpositive肿瘤细胞高表达COL1A2/PLAU(促侵袭),低表达HBB/LOX(图4b)
• 免疫调节:
转录组:MDKhigh肿瘤富含CCL17/CXCL10等趋化因子及PD-L1(图5b)
功能实验:重组MDK诱导巨噬细胞分泌CCL17(↑4.3倍)、PD-L1(↑2.1倍)(图6)
中和实验:抗MDK抗体可逆转50-70%的GBM条件培养基效应
表观遗传特征
• 甲基化差异:MDKlow肿瘤呈现全局高甲基化状态(图7c)
• 突变谱:MDKlow组独有GPR132/PTCH1突变(与免疫治疗敏感性相关)
研究意义
该研究首次揭示MDK通过"双重作用"驱动GBM进展:一方面通过ALK/PI3K通路直接促进肿瘤细胞增殖与EMT(上皮-间质转化);另一方面诱导巨噬细胞分泌CCL17/PD-L1等建立免疫抑制微环境。发现ENST00000395566异构体的选择性富集提示其可作为治疗靶点优化依据。临床转化方面,研究为正在开展的crizotinib(ALK/MET抑制剂)临床试验(NCT02270034)提供了分子分型依据——该试验中位生存期22.6个月的数据已显现潜力。未来需探索术前MDK阻断联合标准治疗的策略,以克服术后MDK代偿性升高带来的耐药风险。



生物通微信公众号
知名企业招聘