
-
生物通官微
陪你抓住生命科技
跳动的脉搏
机器学习驱动的数学模型优选策略:提升反刍动物饲料体外产气量分析的精准性与通用性
【字体: 大 中 小 】 时间:2025年08月22日 来源:Scientific Reports 3.9
编辑推荐:
本研究针对反刍动物饲料体外产气量(GP)分析中数学模型选择缺乏系统标准的问题,通过机器学习方法系统评估21种非线性模型对849组不同饲料样本的拟合效果。研究发现Burr XII、Inverse paralogistic和Log-logistic模型在Bayesian Information Criterion(BIC)评估中表现最优,其预测准确性显著优于传统模型(P<0.01),模型类型对结果的影响(65.2%)甚至超过饲料种类差异(34.8%)。该研究为反刍动物营养研究提供了标准化的模型选择框架,相关成果发表于《Scientific Reports》。
在反刍动物营养研究领域,体外产气量(Gas Production, GP)技术是评估饲料发酵特性的金标准。通过模拟瘤胃环境,该方法能有效预测饲料的营养价值和消化率。然而长期以来,研究者们面临一个关键瓶颈:如何从众多数学模型中选出最适合描述GP动力学的模型?传统依赖经验选择模型的方式,既缺乏系统性又难以适应不同饲料类型的多样性特征,这直接影响了实验数据的解释精度和跨研究可比性。
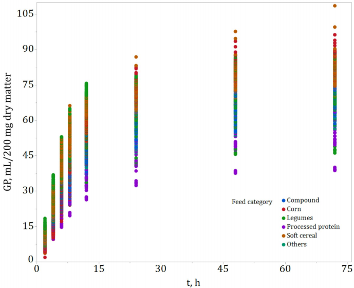
为破解这一难题,来自德国霍恩海姆大学的Hamed Ahmadi团队在《Scientific Reports》发表了一项开创性研究。研究人员创新性地将机器学习算法与传统统计学方法相结合,对21种候选数学模型进行了迄今为止最全面的评估。研究团队收集了涵盖6大类饲料(包括谷物、豆科、加工蛋白饲料等)的849组GP曲线数据,采用贝叶斯信息准则(BIC)作为核心评估指标,通过决策树算法揭示了模型性能与饲料特性的复杂关系。
关键技术方法包括:1) Hohenheim气体测试(HGT)标准化实验体系,采集72小时内9个时间点的GP数据;2) MATLAB非线性回归分析(fitnlm函数)进行21种模型拟合;3) 机器学习决策树(JMP Pro软件)分析模型与饲料类别的交互效应;4) 相对性能改善率(RPI)量化模型优势。所有数据均来自已发表的动物实验,涉及大麦、玉米、羽扇豆等20余种饲料原料。
模型性能的系统评估
研究首先建立了严格的模型筛选标准:要求候选模型必须满足累积分布函数(CDF)特性,参数不超过4个,且能明确计算拐点时间(t*)和半衰期(t0.5)。通过两阶段筛选从86个初选模型中最终确定21个合格模型,包括传统常用的Gompertz、Logistic模型和新引入的Burr XII等分布函数模型。
关键参数对比分析
通过表2数据可见,三大优选模型在最大产气量(m)、半衰期等参数上高度一致:如玉米类饲料的m值在Burr XII(84.4 mL)、Inverse paralogistic(85.9 mL)和Log-logistic(84.3 mL)间差异不足2%。但在速率常数(r)和形状参数(a)上存在显著分歧:软谷物饲料的r值在Log-logistic模型(0.171 h-1)显著低于Burr XII模型(0.255 h-1),揭示不同模型对发酵速率的解释差异。
模型与饲料的交互效应
图4决策树分析显示,模型类型对BIC的影响权重达65.2%,远超饲料类别的34.8%。特别值得注意的是,在加工蛋白饲料中,优选模型的RPI高达94.2%,意味着其误差减少效果接近翻倍。研究还发现传统Cauchy、Gumbel模型在多类饲料中表现显著较差(P<0.01),这颠覆了既往认为复杂模型必然更优的认知。
讨论与展望
该研究首次证明:1) 少量优选模型(Burr XII等)可覆盖多样化饲料分析需求;2) 模型选择比饲料分类对结果影响更大;3) 两参数模型在特定场景下可能优于多参数模型。这些发现为建立GP分析的国际标准提供了理论依据。未来研究可进一步探索优选模型参数与体内消化率的关联,或将机器学习拓展至饲料成分-模型性能的预测领域。


生物通微信公众号
知名企业招聘