
-
生物通官微
陪你抓住生命科技
跳动的脉搏
韩国T细胞淋巴瘤患者长期结局的真实世界研究:一项全国性队列分析
【字体: 大 中 小 】 时间:2025年08月23日 来源:Blood Research 2.8
编辑推荐:
本研究基于韩国国民健康保险服务数据,对12,573例成熟T细胞和NK细胞淋巴瘤患者进行回顾性分析,揭示了不同亚型的流行病学特征和治疗结局。研究发现ALK阳性间变性大细胞淋巴瘤预后最佳,CHOEP方案优于传统CHOP方案,且自体干细胞移植(auto-SCT)可显著改善PTCL-NOS和AITL患者的生存率,为临床决策提供了重要循证依据。
T细胞淋巴瘤作为一组罕见的侵袭性恶性肿瘤,长期以来困扰着血液肿瘤领域。这类疾病不仅异质性强,而且治疗选择有限,患者预后普遍较差。在亚洲地区,NK/T细胞淋巴瘤的发病率尤为突出,但大规模流行病学数据和长期随访结果一直缺乏。更令人困扰的是,关于最佳一线化疗方案的选择——是传统的CHOP方案还是强化型的CHOEP方案,以及巩固性干细胞移植的价值等问题,国际上的研究结论存在明显分歧。这些悬而未决的临床问题,亟需基于真实世界的大样本数据来提供更可靠的循证依据。
韩国研究团队Dong Won Baek等人在《Blood Research》发表了一项突破性研究,他们利用韩国国民健康保险服务(NHIS)数据库,对2005-2022年间12,573例成熟T细胞和NK细胞淋巴瘤患者进行了全面分析。这项全国性研究不仅揭示了韩国T细胞淋巴瘤的流行病学特征,更重要的是通过长期随访数据,明确了不同治疗方案的真实疗效差异,为临床实践提供了重要参考。
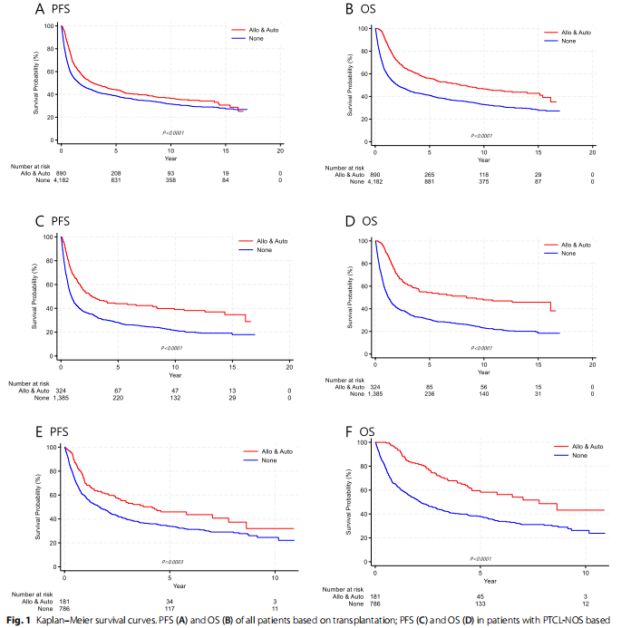
研究人员采用了多中心回顾性队列研究设计,通过韩国疾病分类代码(KCD)筛选病例,覆盖了2005-2022年间韩国绝大多数T细胞淋巴瘤患者。研究主要应用了相对生存率分析、Kaplan-Meier生存曲线和Cox比例风险模型等统计方法,比较了不同亚型、不同治疗方案患者的长期生存差异。特别值得注意的是,研究纳入了接受自体干细胞移植(auto-SCT)和异基因干细胞移植(allo-SCT)的患者亚群,为评估移植疗效提供了难得的大样本数据。
研究结果部分,首先揭示了韩国T细胞淋巴瘤的流行病学特征。数据显示,PTCL未特指型(PTCL-NOS)和结外NK/T细胞淋巴瘤是最常见的亚型,分别占33.7%和33.6%,其次是血管免疫母细胞性T细胞淋巴瘤(AITL)(19.1%)。年龄分布显示,诊断高峰在50-70岁之间,男性患者比例显著高于女性(61% vs 39%)。
在生存分析方面,研究得出了几个重要发现。ALK阳性间变性大细胞淋巴瘤(ALK-positive ALCL)患者的相对生存率最高,而肠病相关T细胞淋巴瘤(EATL)预后最差,5年相对生存率仅为30.1%-37.3%。全组中位随访6.7年,接受治疗患者的3年和5年无进展生存率(PFS)分别为44.0%和39.5%,总生存率(OS)分别为48.6%和43.5%。
治疗方案比较显示,在传统CHOP方案基础上加用依托泊苷的CHOEP方案显著改善了患者的PFS和OS。Kaplan-Meier生存曲线直观展示了这一优势,为临床选择强化方案提供了有力证据。在移植疗效方面,auto-SCT显著改善了PTCL-NOS和AITL患者的生存结局,而allo-SCT在前期巩固治疗中并未显示出优于auto-SCT的效果。这一发现对临床移植策略的选择具有重要指导意义。

讨论部分指出,这项研究是迄今为止关于亚洲T细胞淋巴瘤最大规模的真实世界研究之一。研究不仅证实了ALK阳性ALCL的良好预后特征,更重要的是明确了CHOEP方案在适合患者中的生存优势,解决了长期存在的临床争议。关于移植时机的讨论特别指出,auto-SCT作为巩固治疗可显著改善特定亚型患者的长期预后,但需要根据患者年龄和身体状况个体化决策。

这项研究的局限性包括缺乏病理切片复核可能导致的分类偏差,以及缺少疾病分期和体能状态等预后因素的详细数据。作者建议未来应开展前瞻性随机研究来进一步验证这些发现,并探索新型靶向药物与传统化疗的联合策略。
总的来说,这项研究为T细胞淋巴瘤的临床实践提供了重要的亚洲人群数据,明确了CHOEP方案和auto-SCT的治疗价值,为改善这类难治性疾病的预后指明了方向。研究结果对指导个体化治疗决策具有重要意义,也为未来临床试验设计提供了真实世界证据基础。
生物通微信公众号
知名企业招聘