
-
生物通官微
陪你抓住生命科技
跳动的脉搏
血浆tau生物标志物用于阿尔茨海默病的生物学分期:一项基于质谱技术的血液诊断模型
【字体: 大 中 小 】 时间:2025年08月23日 来源:Nature Aging 19.4
编辑推荐:
本研究针对阿尔茨海默病(AD)诊断和分期需求,通过靶向质谱技术检测血浆中6种磷酸化和6种非磷酸化tau肽段,建立了基于p-tau217r、p-tau205r和0N-tau的四阶段血液分期模型。该模型在BioFINDER-2(n=549)和TRIAD(n=140)队列中验证了>85%的一致性,能准确反映Aβ-PET、tau-PET等影像学生物标志物变化,并与认知衰退纵向轨迹显著相关,为AD临床决策提供了可扩展的血液检测工具。
阿尔茨海默病(AD)作为全球痴呆症的主要病因,影响着超过5500万患者。尽管靶向淀粉样蛋白(Aβ)的免疫疗法已获批用于轻中度AD治疗,但昂贵的正电子发射断层扫描(PET)检测限制了病理分期的可及性。血液生物标志物因其便捷性和成本优势成为研究热点,但如何通过单一血液样本实现AD生物学分期仍是未解难题。
这项发表在《Nature Aging》的研究创新性地采用靶向质谱技术(MS),同时定量分析血浆中12种tau肽段(6种磷酸化/6种非磷酸化),发现不同tau物种在疾病连续体中的异常时序:p-tau217和p-tau231在认知未受损(CU)向Aβ阳性(Aβ+)转化阶段早期升高,p-tau205在症状出现时变化显著,而非磷酸化0N-tau在AD痴呆期才达异常水平。基于此,团队开发了四阶段血液分期模型(阶段0-3),关键创新点包括:
主要技术方法:
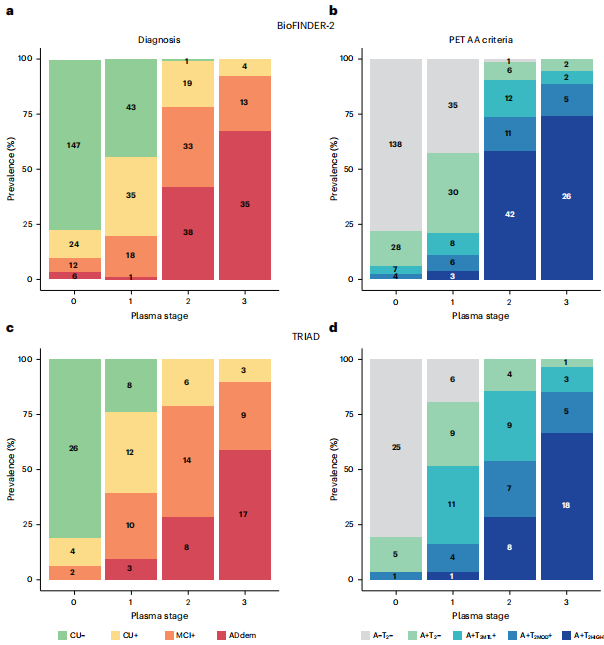
队列设计:采用瑞典BioFINDER-2(n=549)和加拿大TRIAD(n=140)两个独立队列,涵盖认知未受损Aβ阴性(CU-)、Aβ阳性(CU+)、轻度认知障碍(MCI+)和AD痴呆(ADdem+)群体
质谱检测:通过Tau12/HT7/BT2抗体组合免疫沉淀血浆tau,定量12种肽段并计算磷酸化/非磷酸化比值(如p-tau217r)
影像学关联:同步分析Aβ-PET([18F]flutemetamol/[18F]AZD4694)、tau-PET([18F]RO948/[18F]MK6240)在颞叶内侧(MTL)和新皮质(NeoT)的摄取
机器学习:通过k-means聚类建立三维分期模型(p-tau217r/p-tau205r/0N-tau为轴)
研究结果:
血浆tau生物标志物水平与诊断和Aβ状态的关系

• p-tau217在CU+阶段即显著升高(z-score>1.96),而PNS-tau在AD全程无变化
• 采用磷酸化/非磷酸化比值(如p-tau217r)可减少慢性肾病等混杂因素影响
血浆生物标志物阶段与影像学生物标志物和认知的关系

• 阶段0→1:Aβ-PET显著增加(β=0.37, P<0.001),皮层厚度开始下降
• 阶段1→2:MTL tau-PET升高1.30 SUVR(P<0.001),mPACC认知评分加速恶化
• 阶段2→3:NeoT tau-PET进一步增加0.99 SUVR(P<0.001),67%患者进入痴呆
血浆tau阶段与临床诊断和PET分期的关联

• 阶段1患者56%为Aβ+ CU,21%已出现tau-PET阳性
• 阶段3中74%患者达到AA标准定义的tau-PET晚期(A+TMOD+HIGH+)
不同血浆阶段个体的纵向轨迹差异
• 阶段2-3患者tau-PET年增长率达0.17-0.19 SUVR(P<0.001),而阶段0-1无显著变化
• MMSE评分在阶段1→2每年下降0.50分(P<0.001),显著快于早期阶段
这项研究首次证明血浆tau生物标志物可替代PET实现AD生物学分期,具有三重临床价值:
治疗决策:阶段1(Aβ+ tau-PET阴性)患者可能最适合Aβ免疫疗法
试验筛选:结合p-tau217与tau-PET可减少94%临床试验筛查成本
预后预测:阶段2-3的tau-PET年增长率与认知衰退速度显著相关
局限性包括缺乏尸检病理验证、随访时间较短等。未来需在更广泛人群(尤其合并肾病患者)中验证,并探索与其他血液标志物(如GFAP)的联合应用。该研究为AD精准医疗提供了可扩展的血液检测框架,有望改写临床实践指南。
生物通微信公众号
知名企业招聘