
-
生物通官微
陪你抓住生命科技
跳动的脉搏
美国高风险骨髓增生异常综合征患者诊疗路径中的关键缺口:基于社会健康决定因素的真实世界研究
【字体: 大 中 小 】 时间:2025年08月25日 来源:PharmacoEconomics - Open 2.0
编辑推荐:
本研究针对高风险骨髓增生异常综合征(HR-MDS)诊疗延迟问题,通过分析1710例美国保险患者数据,揭示从首发症状到确诊中位耗时10.3个月,仅37%患者接受指南推荐治疗。研究首次系统评估社会健康决定因素(SDoH)对HR-MDS诊疗的影响,发现交通障碍、社会孤立等可干预因素显著影响临床结局,为优化诊疗路径提供循证依据。
骨髓增生异常综合征(MDS)被称为"白血病前期",其中高风险类型(HR-MDS)患者43%会进展为致命性急性髓系白血病(AML)。这类患者往往面临诊断困境——疲劳、感染等非特异性症状如同身体发出的模糊警报,临床医生如同在迷雾中寻找线索。更严峻的是,现有治疗选择有限,低甲基化药物(HMAs)仅能带来1-2年生存期,造血干细胞移植(HSCT)又受限于患者年龄和身体状况。在这种背景下,《PharmacoEconomics - Open》最新研究揭示了令人担忧的现实:从首发症状到明确诊断,患者平均需要煎熬10.3个月,而这段被浪费的时间可能直接决定生存结局。
研究团队采用美国Optum医保数据库2017-2022年间1710例HR-MDS患者的真实世界数据,创新性地整合传统医疗索赔与社会健康决定因素(SDoH)指标。通过多变量逻辑回归和比例风险模型,系统分析了从症状出现、诊断检测到治疗选择的完整诊疗路径,特别关注了常被忽视的社会经济因素对临床决策的影响。
3.1 患者选择与 demographics
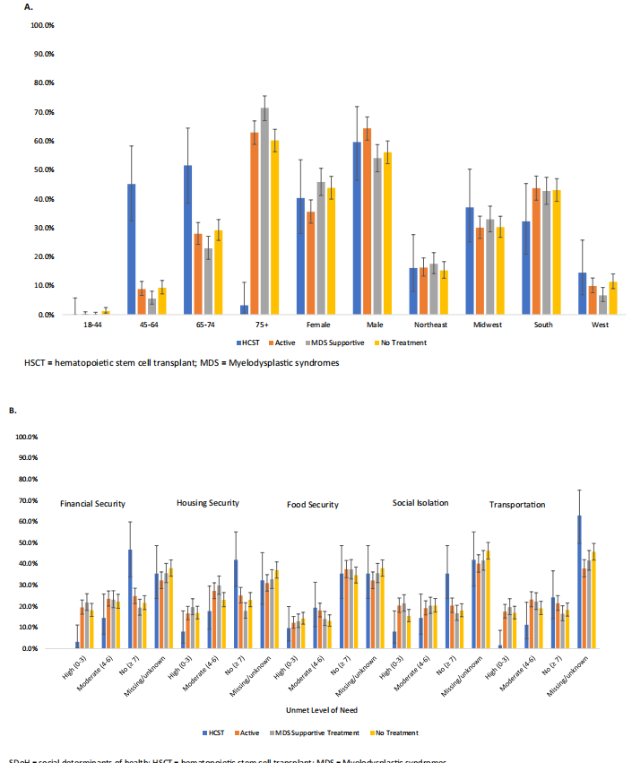
研究纳入平均年龄76.2岁的老年人群,85.7%为Medicare Advantage计划参保者。引人注目的是,图1显示19%患者存在高度社会孤立风险,17%面临严重交通障碍。这些数字背后是冰冷的现实:当患者挣扎于基本生活需求时,如何按时完成频繁的骨髓活检和医院随访?

3.2 症状到诊断的漫长之路
数据显示90%患者以贫血为首发信号,但确诊之路曲折。图2清晰呈现中位诊断延迟达10.3个月,其中贫血患者等待8.1个月,感染患者等待8.4个月。更令人深思的是,商业保险患者诊断延迟风险反而更高(OR=0.59),这可能反映不同医保体系下的诊疗模式差异。

3.3 治疗选择的现实困境
仅3.6%患者接受HSCT,这些幸运儿平均年龄仅64岁且并发症最少。图4B揭示残酷现实:接受支持治疗的患者SDoH问题最严重,仿佛陷入恶性循环——社会支持不足导致无法承受积极治疗,而保守治疗又加速疾病进展。尤其值得关注的是,家庭收入<5万美元患者AML转化风险显著升高56%(HR=1.56)。

这项研究首次绘制了HR-MDS诊疗全链条中的关键缺口。诊断延迟问题比既往单中心研究揭示的更严峻,而SDoH因素对治疗选择的影响远超预期。研究建议三管齐下:开发症状预警系统缩短诊断时间,建立SDoH筛查工具识别高危患者,优化临床试验准入机制。这些发现不仅为HR-MDS诊疗指南更新提供证据,更启示肿瘤学界:在精准医学时代,解决"社会基因组"不平等或许与靶向治疗同等重要。
生物通微信公众号
知名企业招聘