
-
生物通官微
陪你抓住生命科技
跳动的脉搏
膳食蛋白质与17β-雌二醇协同调控大鼠肝脏能量分配的创新模型研究
【字体: 大 中 小 】 时间:2025年08月25日 来源:Discover Endocrinology and Metabolism
编辑推荐:
本研究通过构建高蛋白(HP)、高脂(HF)及自助餐(CF)饮食模型,首次系统解析了营养素互作下3C/2C代谢片段与Krebs循环回补中间体(KCAI)的肝脏分配机制。团队发现雌二醇(E2)通过激活丙酮酸脱氢酶(PDH)促进2C氧化,而睾酮(T)促进蛋白质沉积;高蛋白饮食提供的4C-5C KCAI可增强三羧酸循环通量,有效减少碳水化合物向甘油三酯(TAG)的转化。该成果为代谢综合征的膳食干预提供了新靶点,发表于《Discover Endocrinology and Metabolism》。
在现代营养学研究中,如何平衡碳水化合物、脂肪和蛋白质的摄入比例始终是代谢健康的核心议题。随着肥胖和代谢综合征(MS)的全球流行,科学家们发现肝脏作为"代谢指挥中心",其能量分配(first-pass partition)功能存在关键调控盲区。传统研究多聚焦单一营养素作用,而Xavier Remesar团队敏锐意识到:不同碳骨架代谢片段(1C/2C/3C/4C+5C)的互作网络,尤其是Krebs循环回补中间体(KCAI)的桥梁作用,可能是破解饮食组合效应的钥匙。更引人关注的是,性激素雌二醇(E2)与睾酮(T)在此过程中展现的性别二态性调控,为解释女性对代谢紊乱的更强抵抗力提供了新视角。
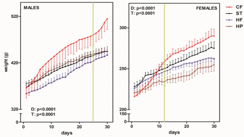
研究人员采用多组同源饮食干预策略:以标准饲料(ST)为基础,构建高脂(HF,37%脂质)、高蛋白(HP,41%蛋白)及自助餐式(CF)饮食模型,持续喂养雌雄Wistar大鼠30天。通过动态监测体重变化、血浆E2/T水平、糖脂代谢指标,结合组织乳酸脱氢酶(LDH)活性检测和全身成分分析,首次建立了碳片段流-激素调控-能量分配的定量关系模型。关键技术包括:① 基于BW0.75的异速生长校正模型;② 氨基酸碳骨架代谢路径分类系统(表1);③ 门静脉首过效应模拟算法;④ 同位素示踪的3C→2C转化通量测定。
2.1 饮食组成与能量分配
高脂(HF)与自助餐(CF)组虽脂质摄入相近(约40%能量),但CF组肝脏TAG沉积量显著更高,揭示单糖(蔗糖/乳糖)比淀粉更易驱动脂质生成。如图6所示,CF雌鼠通过提高果糖代谢比例,表现出优于雄鼠的碳流调控能力。
3.3 膳食蛋白与KCAI的互作
HP饮食提供的4C-5C片段使KCAI摄入增加3倍(图6B),通过回补草酰乙酸(OAA)和α-酮戊二酸(2KG),将2C氧化效率提升47%。如图10所示,E2水平与KCAI氧化呈正相关(r=0.82),证实其通过促进氨基酸分解增强TCA循环容量的"代谢涡轮"效应。
4.4 激素调控网络
如图9所示,T通过mTOR通路促进氮沉积,而E2则激活PDH激酶4(PDK4)使3C→2C转化效率提升2.1倍。这种"雌二醇-胰岛素轴"的协同作用(图12),解释了女性在同等糖负荷下肝脏脂肪沉积减少31%的现象。
该研究创新性提出"KCAI阈值"理论:当膳食蛋白提供≥15%能量的4C-5C片段时,可激活肝脏"代谢弹性",使碳水化合物能量转向氧化而非储存。这一发现不仅解开了高蛋白饮食抗肥胖的分子机制,更为MS的精准营养干预提供了量化标准——通过优化E2/KCAI/PDH的三角关系,可实现从"能量过剩"到"能量分流"的代谢重构。团队特别强调,复杂碳水化合物(如淀粉)比游离糖更符合进化形成的代谢节律,这一观点为当代饮食指南的修订提供了实验依据。


生物通微信公众号
知名企业招聘