
-
生物通官微
陪你抓住生命科技
跳动的脉搏
野猪入侵对野生火鸡繁殖季节活动模式与空间利用的生态干扰研究
【字体: 大 中 小 】 时间:2025年08月26日 来源:Movement Ecology 3.9
编辑推荐:
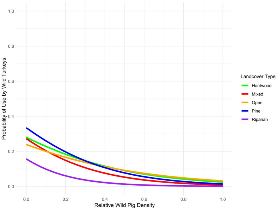
本研究针对美国东南部野生火鸡(Meleagris gallopavo)种群衰退与入侵物种野猪(Sus scrofa)扩张的生态冲突,通过GPS追踪与相机陷阱调查,首次揭示野猪密度升高导致火鸡步长增加1.29倍、日间利用概率降低32.1%(松林区),并显著影响其栖息地选择(P<0.001)。发表于《Movement Ecology》的成果为入侵物种管理提供重要科学依据。
在美国东南部广袤的森林中,野生火鸡(Meleagris gallopavo)曾是该地区标志性的狩猎物种,每年创造70亿美元的经济价值。然而过去三十年间,其种群生产力出现显著下降,与此同时,入侵物种野猪(Sus scrofa)的种群却快速扩张。这种生态位重叠引发了科学家的担忧——野猪是否会通过竞争资源、破坏栖息地或直接干扰,影响火鸡的繁殖成功率?此前相机研究表明野猪出现区域的野生火鸡检出率降低,但这种现象究竟源于种群衰退还是行为回避,成为亟待解答的科学问题。
为揭示这一生态互作机制,Auburn大学领衔的研究团队在阿拉巴马州9000公顷的研究区域展开创新性研究。通过给22只野生火鸡佩戴GPS-VHF项圈,并结合51个1km2网格的相机陷阱调查,团队首次量化了野猪相对密度(0-42头/km2标准化为0.0-1.0)与火鸡繁殖期(3-6月)行为模式的关联。研究采用动态布朗桥运动模型分析步长变化,构建资源选择函数(RSF)评估日间利用、夜栖地选择和巢址选择的概率变化。
关键技术方法包括:1)GPS追踪技术(Lotek UK Ltd设备,每2小时定位)获取22只火鸡运动数据;2)标准化相机陷阱网格调查(Reconyx PC800相机,7天连续监测)估算野猪密度;3)国家土地覆盖数据库(NLCD 2021)提取30m分辨率栖息地数据;4)广义线性模型分析步长与栖息地选择,其中巢址分析纳入16个验证巢(2个成功)。
研究结果呈现四大发现:
运动模式改变:野猪密度每增加10%,非繁殖雌性火鸡步长显著增加25.5m(P<0.001),雄性增加11.7m(P=0.009),表明回避行为。

日间栖息地回避:在野猪密度最高区域(1.0),火鸡对松林的日间利用概率从33.5%骤降至1.4%,硬木林从28.0%降至2.5%(ALL群体,P<0.001),但开放区域回避较弱(仅降15.6%),显示繁殖期核心需求优先。

夜栖地选择:野猪使火鸡夜栖松林概率降低10.9%(ALL群体),雄性在河岸区的回避达29.0%,反映对夜间干扰风险的规避。
巢址选择:成功巢均位于低野猪密度区(0.14 vs 随机点0.41),模型显示密度每增加1单位,巢址选择概率降低6.22倍(P=0.007),16巢中仅2巢成功(87.5%失败率),暗示栖息地质量妥协。

讨论部分强调,这种"感知风险"机制(perceived disturbance risk)可能通过三种途径影响火鸡种群:1)增加运动能耗降低觅食效率;2)被迫使用次优栖息地提升被捕食风险;3)巢址选择受限导致繁殖失败。研究创新性地将入侵物种影响从传统资源竞争拓展至行为干扰维度,为理解生物入侵的级联效应提供新视角。作者建议将野猪密度控制纳入火鸡保护计划,特别是在繁殖季关键区域。该成果对全球生物入侵研究具有范式意义,尤其适用于评估入侵物种对地栖鸟类的非直接捕食影响。
生物通微信公众号
知名企业招聘