
-
生物通官微
陪你抓住生命科技
跳动的脉搏
"无传统风险因素却存在炎症的女性心血管风险:高敏C反应蛋白在SMuRF-less人群中的30年预测价值"
【字体: 大 中 小 】 时间:2025年08月29日 来源:European Heart Journal 35.6
编辑推荐:
本研究针对无标准可改变心血管风险因素(SMuRFs)但存在炎症的女性群体,通过30年随访分析高敏C反应蛋白(hsCRP)的预测价值。结果显示hsCRP>3 mg/L者冠心病风险增加77%,证实炎症标志物可识别被传统算法遗漏的高危人群,为他汀类干预提供循证依据。
心血管疾病防治领域长期聚焦于高血压、血脂异常、糖尿病和吸烟四大标准可改变风险因素(SMuRFs)。然而临床观察发现,约20-30%的心肌梗死患者并不具备这些传统危险因素,这种现象在女性群体中尤为显著——瑞典SWEDEHEART研究显示,无SMuRFs的女性ST段抬高型心肌梗死患者30天死亡率高达19%,比具有风险因素的男性高出近3倍。这种"无传统风险却高发事件"的临床悖论,暴露出当前风险评估体系的重大漏洞。
为破解这一难题,哈佛医学院Paul M Ridker团队在《European Heart Journal》发表了里程碑式研究。研究者利用美国女性健康研究(WHS)队列,对12,530名基线无SMuRFs的健康女性进行30年追踪,首次系统评估了炎症标志物高敏C反应蛋白(hsCRP)在这类特殊人群中的预测价值。这项研究不仅填补了"SMuRF-less但炎症"人群的风险评估空白,更通过长达四分之一世纪的持续观察,为心血管一级预防提供了全新视角。
研究采用前瞻性队列设计,核心方法包括:1) 从NIH资助的WHS队列筛选无SMuRFs女性(血压<140/90 mmHg、LDL-C<135 mg/dL、非糖尿病人群、非吸烟者);2) 基线检测hsCRP水平(Denka Seiken高敏检测法);3) 30年随访记录首次主要心血管事件(心肌梗死、冠脉血运重建、缺血性卒中或心血管死亡);4) 采用Cox比例风险模型计算风险比(HR),并通过惩罚样条回归分析hsCRP与风险的剂量反应关系。
主要发现
基线特征与炎症水平
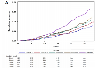
中位基线hsCRP在最终发生心血管事件的女性显著更高(2.22 vs 1.50 mg/L,P<0.0001)。40.6%的事件组女性hsCRP>3 mg/L,显著高于未事件组(28.9%)。
hsCRP五分组分析
年龄调整后,从最低到最高hsCRP五分组,冠心病风险呈梯度上升(HR 1.0、1.24、1.41、1.57、2.23,趋势P<0.0001)。每升高一个五分位,30年冠心病风险增加21%(HR 1.21,95%CI 1.13-1.29)。

临床阈值分析
采用常用临床阈值(hsCRP<1、1-3、>3 mg/L),hsCRP>3 mg/L者相比<1 mg/L者:
冠心病风险增加77%(HR 1.77,95%CI 1.36-2.31)
缺血性卒中风险增加39%(HR 1.39,95%CI 0.92-2.10)
总心血管事件风险增加52%(HR 1.52,95%CI 1.20-1.92)
剂量反应关系
样条回归显示hsCRP与风险呈线性相关,无阈值效应。这种关联在校正体重指数(BMI)和估算肾小球滤过率(eGFR)后仍保持显著。
临床启示
该研究首次证实:在传统风险评估认为"低危"的SMuRF-less女性中,hsCRP可有效识别出实际高危的"炎症但无风险因素"亚群。这一发现具有三重变革意义:
首先,改写了对"低风险"人群的认知——即使血压、血脂、血糖均达标且不吸烟,hsCRP升高者的30年心血管事件累积发生率仍达12%,远超预期。
其次,为精准预防提供新靶点。JUPITER试验事后分析显示,他汀可使hsCRP升高但LDL-C正常者的心血管风险降低38%,本研究为扩大他汀适应症提供强力证据。
最后,呼吁修订筛查策略。鉴于hsCRP预测价值与胆固醇相当,作者建议将其纳入常规筛查,如同现行血脂检测。这尤其有助于解决女性心血管病诊断不足、治疗不足的全球性问题。
这项历时30年的研究揭示:心血管防控需超越传统风险因素框架,将炎症监测纳入风险评估体系。对于占人口相当比例的"SMuRF-less但炎症"人群,早期检测hsCRP并适时启动他汀治疗,可能成为打破"无风险却高事件"魔咒的关键钥匙。
生物通微信公众号
知名企业招聘