
-
生物通官微
陪你抓住生命科技
跳动的脉搏
现场音乐会环境中运动同步现象的生态效度研究:测量方法与影响因素解析
【字体: 大 中 小 】 时间:2025年08月30日 来源:Scientific Reports 3.9
编辑推荐:
本研究针对音乐现场体验中运动同步(movement entrainment)现象的测量难题,通过便携式加速度计在摇滚/流行和爵士音乐会中采集观众肢体运动数据,首次在生态效度(ecologically valid)环境下系统分析了测量部位(手臂vs躯干)、节拍层级(BPM及其半速/倍速)、音乐特征(曲目差异)、情境因素(坐姿vs站立)及个人特质(舞蹈冲动)对运动同步的影响。研究发现手臂测量数据显著高于躯干,标准节拍层级的同步性最强,站立条件和舞蹈冲动特质会显著增强同步行为。该研究为理解音乐现场体验的生理行为机制提供了创新方法学框架。
音乐具有神奇的魔力,它能让人不自觉地跟随节奏摇摆——无论是夜店里的热舞、华尔兹的优雅旋转,还是电台歌曲引发的即兴律动。这种被称为"运动同步"(movement entrainment)的现象,指人体运动与音乐节拍的无意识协调,被认为是人类对音乐最自然的反应之一。尽管实验室研究已证实120BPM是人类最舒适的同步节奏(与步行频率110-120BPM吻合),但真实音乐会场景中多种因素如何共同影响运动同步,始终是未解之谜。Maren Hochgesand和Hauke Egermann在《Scientific Reports》发表的研究,首次将测量设备带入真实音乐会现场,揭开了这一复杂互动的面纱。
研究团队采用便携式加速度计(Shimmer GSR+/ECG传感器)同步采集69名观众在坐姿与站立两种音乐会条件下的三维运动数据。通过傅里叶变换提取半速(0.5BPM)、标准(BPM)和倍速(2BPM)三个节拍层级的能量谱,结合层级线性模型(Hierarchical Linear Models)分析多因素影响。观众在实验前后完成包括舞蹈冲动(Gold-DSI量表)、共情特质(IRI量表)等心理测量问卷。
测量方法验证
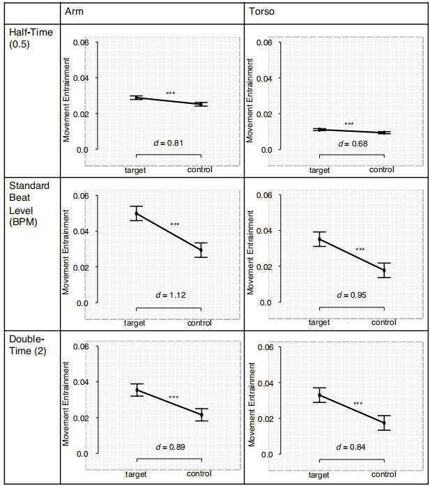
预实验(n=42)证实目标BPM的同步值显著高于±30BPM的对照值(p<0.001),且与实际舞蹈欲望呈正相关(r=0.397)。

多因素影响机制
最终模型揭示:手臂测量值比躯干高12%(t=12.04),标准节拍层级的同步性比半速和倍速分别强9.65和7.34个t值。开场曲目《In the Stone》引发最强同步(被乐评称为"无法抗拒的舞曲"),站立条件比坐姿显著提升同步水平。个人特质中仅舞蹈冲动(urge to dance)具有预测力(t=2.88),而情绪状态、音乐熟悉度等未达显著。

这项研究突破了实验室研究的局限性,证实真实音乐场景中运动同步受多系统因素共同调控。方法论上开创了可穿戴设备在生态效度研究中的应用范式,理论上完善了Scherer-Zentner音乐反应模型的情境维度。发现站立条件对同步行为的促进作用,为音乐会场地设计提供实证依据;而舞蹈冲动特质的鉴别价值,则对音乐治疗和体验营销具有启示意义。研究同时指出,未来需拓展更多音乐类型(如EDM电子舞曲)和跨文化场景,以建立普适性理论框架。
生物通微信公众号
知名企业招聘