
-
生物通官微
陪你抓住生命科技
跳动的脉搏
基于多尺度非线性分析与复杂性匹配的脂肪注射喉成形术治疗单侧声带麻痹的声学评估新范式
【字体: 大 中 小 】 时间:2025年08月30日 来源:Scientific Reports 3.9
编辑推荐:
本研究针对单侧声带麻痹(UVFP)患者传统声学参数评估的局限性,创新性地采用多尺度非线性分析(包括多分形去趋势波动分析MFDFA和样本熵SE)结合复杂性匹配(CM)理论,系统评估了69例自体脂肪注射喉成形术(IL)患者的声带振动模式恢复情况。研究发现,轻度恢复(MR)患者术前术后声学复杂性匹配度显著高于完全恢复(FR)组(p<0.001),样本熵SE被证实为最可靠的跨尺度评估指标。该研究为UVFP治疗效果的客观评估提供了新思路,对临床个性化诊疗具有重要指导意义。
声带疾病影响着全球约16.9%的人口,其中单侧声带麻痹(UVFP)因其导致的气息声、代偿性发音行为和感觉处理皮层改变尤为棘手。虽然脂肪注射喉成形术(IL)被视为有效的微创治疗手段,但传统声学分析常因依赖基频(F0)计算而难以准确评估高度紊乱的声带振动。更关键的是,声带组织的流变特性、左右声带运动不对称性等非线性现象,需要超越传统线性分析框架的新方法。
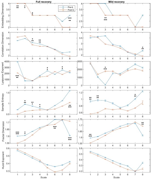
为此,Federico Calà团队在《Scientific Reports》发表的研究开创性地引入多尺度非线性分析体系。通过采集69例UVFP患者术前术后持续元音/a/的录音,研究团队运用多分形去趋势波动分析(MFDFA)计算不同尺度范围(从27到213样本)的标度指数α(q),首次将复杂性匹配概念引入声学分析——通过比较术前术后标度指数的相关性来量化信息保留程度。同时采用多尺度样本熵(SE)、最大李雅普诺夫指数(LLE)等非线性参数,系统评估从发音到构音多个层次的康复效果。
关键技术方法包括:1)基于22.05kHz采样的声学信号预处理与743ms稳定段提取;2)MFDFA四步分析法计算q阶(-15到15)标度指数;3)粗粒化处理实现8个尺度(20-27)的多尺度分析;4)GRB量表(含整体等级G、粗糙度R、气息声B)的感知评估分组(完全恢复FR与轻度恢复MR)。
复杂性匹配揭示治疗响应差异
通过MFDFA分析发现,MR组在所有尺度范围(LLR、LR、SR、SSR)的术前术后标度指数相关性均显著高于FR组(p<0.001,Cohen's d>0.8),

多尺度样本熵的跨层次评估价值
SE在FR组尺度1(原始信号)、尺度2(11.025kHz截止)和尺度7-8(基频范围)均显示术前值显著更高(p<0.05),

临床相关因素分析
疾病持续时间是唯一与恢复程度显著相关的因素(p=0.013),而病因、年龄、术后测量时间无统计学差异。这突显早期干预对UVFP预后的关键影响。
该研究通过创新性地融合MFDFA与多尺度非线性分析,首次证明声学复杂性匹配可作为IL治疗效果评估的客观指标。样本熵SE的跨尺度敏感性使其成为兼顾发音与构音评估的单一可靠参数,为临床实时监测脂肪再吸收等术后变化提供可能。这些发现不仅推动了声带疾病评估范式的革新,更通过量化患者特异性恢复模式,为精准医疗在喉功能重建领域的应用奠定基础。未来可进一步探索这些非线性指标作为预测生物标志物的潜力,并扩展至其他声门闭合不全疾病的研究。
生物通微信公众号
知名企业招聘