
-
生物通官微
陪你抓住生命科技
跳动的脉搏
从兼性共生到内共生的渐进式基因组演化:固氮硅藻-Richelia共生体系的基因组进化研究
【字体: 大 中 小 】 时间:2025年08月30日 来源:Current Biology 7.5
编辑推荐:
本研究针对海洋中广泛分布的硅藻-Richelia固氮共生体系,通过比较基因组学揭示了从兼性共生到内共生的渐进式基因组演化规律。研究人员分析了14个Richelia共生菌基因组(包括培养株和环境MAGs),发现周质共生菌基因组呈现转座酶爆发和假基因积累的过渡特征,而内共生菌则表现出基因组精简化和代谢通路特异性丢失的特点。该研究首次在浮游生物共生体系中证实了宿主依赖程度与基因组缩减阶段的对应关系,为理解海洋微生物共生进化提供了重要模型。
在浩瀚的海洋中,微小的硅藻与蓝细菌Richelia形成的固氮共生体系,堪称海洋氮循环的"隐形引擎"。这类奇妙的共生关系呈现出从松散到紧密的连续谱系:有的像"房客"般附着在硅藻表面(epibiont),有的像"合租者"居住在硅藻细胞壁内侧(periplasmic symbiont),更有甚者直接"登堂入室"定居在宿主细胞质内(endobiont)。这种独特的共生梯度为科学家研究共生进化提供了天然实验室,但长期以来,人们对其基因组演化规律知之甚少。
Vesna Grujcic团队在《Current Biology》发表的研究,首次系统揭示了Richelia共生菌从兼性共生到完全内共生的基因组进化轨迹。研究人员采用多组学联合作战策略:通过GTDB-Tk构建系统发育树定位14个基因组(4个培养株+10个MAGs)的进化位置;运用Transposeek2分析转座酶分布特征;采用Pseudofinder鉴定假基因;结合KEGG和COG数据库进行功能注释;最后通过比较基因组学揭示代谢通路变化规律。
RESULTS AND DISCUSSION
Diversity and specificity of diatom-Richelia symbiosis
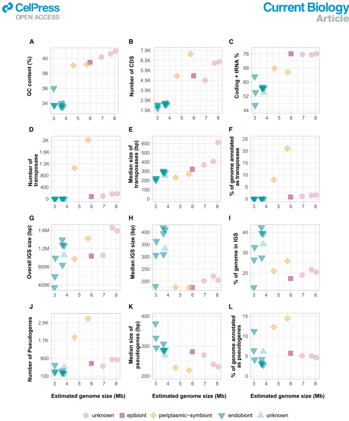
系统发育分析确认Richelia共生菌形成三大进化分支,分别对应不同的宿主整合程度。周质共生菌RintRC01的基因组展现出惊人的转座酶含量(占基因组21%),创下目前已知原核生物的最高记录。

Coding and noncoding fractions reflect genome degradation stages
基因组特征呈现明显梯度:内共生菌基因组最小(3.39±0.34 Mb)且GC含量最低(34.03±0.88%),周质共生菌居中(5.17±0.78 Mb,39±0.07%),表共生菌最大(5.98 Mb,40%)。特别值得注意的是,周质共生菌基因组中充斥着大量短片段转座酶(平均仅编码15%全长蛋白),暗示其正处于基因组剧烈重组阶段。
Lower GC content in endobionts is driven by non-coding regions
内共生菌基因组呈现双峰GC分布:编码区(CDS)保持较高GC含量,而非编码区(IGS)显著偏向AT富集。长达957,936±310,050 bp的IGS区域充满退化基因遗迹,这些"基因组化石"标志着内共生菌已进入基因组精简晚期。
Symbiotic lifestyle shapes the pangenome of Richelia
泛基因组分析揭示:内共生菌核心基因组占比高达71.98±4.72%,显著高于周质共生菌(49.46±0.32%)和表共生菌(47.32±3%)。功能注释显示,所有Richelia菌株均保留固氮酶基因簇(nif基因),但内共生菌特异性丢失了硝酸盐同化途径(narB、nirA)和α-生育酚(α-tocopherol)合成通路。
Functional comparison with other obligate symbionts
与UCYN-A(nitroplast)、EtSB等固氮内共生体相比,Richelia内共生菌展现出独特的代谢缺陷:完全缺失细胞色素bd泛醌氧化酶(cytochrome bd ubiquinol oxidase)和脂质A(lipid A)合成途径。这种"卸甲归田"式的基因组精简,可能增强了宿主依赖性和物质交换效率。
这项研究构建了浮游生物共生体系基因组进化的范式:周质共生阶段爆发转座酶活动和假基因积累,推动基因组剧烈重组;随着共生关系固化,内共生菌通过删除非必需序列实现基因组精简;最终形成代谢通路特化、高度宿主依赖的稳定共生状态。该成果不仅为理解海洋微生物共生进化提供了关键理论框架,也为研究细胞器起源(如新发现的nitroplast)提供了重要参照系。特别值得注意的是,Richelia内共生菌丢失脂质A合成途径的发现,暗示其可能通过改变细胞膜通透性来优化与宿主的物质交换——这一发现或为人工设计合成共生体系提供新思路。
生物通微信公众号
知名企业招聘