
-
生物通官微
陪你抓住生命科技
跳动的脉搏
家庭自测直立性血压异常与动脉粥样硬化及血管硬化的关联:基于SCAPIS队列的大规模人群研究
【字体: 大 中 小 】 时间:2025年09月01日 来源:American Journal of Hypertension 3.1
编辑推荐:
本研究针对直立性血压调节异常(OH/OHT)与心血管风险的关联,通过4556名瑞典SCAPIS队列参与者的家庭自测血压数据,首次揭示家庭环境下的直立性低血压(home OH)和高血压(home OHT)分别与颈动脉斑块、冠脉钙化评分(CACS)及脉搏波速度(PWV)的显著相关性,为早期识别亚临床血管病变提供新策略。
血压如同人体内的"潮汐",其站立时的微妙变化可能暗藏健康密码。传统认知中,诊室测量的直立性低血压(orthostatic hypotension, OH)已被证实与心血管风险相关,但家庭自测环境下的血压"过山车"现象——包括血压骤降(OH)和反常飙升(orthostatic hypertension, OHT)——是否同样预示血管损伤?这个问题长期缺乏大规模人群证据。更棘手的是,现有诊断标准基于单次诊室测量,可能遗漏家庭环境中更真实的血压波动模式。来自瑞典林雪平大学的研究团队在《American Journal of Hypertension》发表的研究,首次将家庭血压监测与血管健康评估相结合,为这一领域带来突破性见解。
研究团队采用横断面分析方法,依托瑞典心肺生物影像研究(SCAPIS)队列中的4556名50-65岁受试者。关键技术包括:1)标准化家庭血压监测(Omron M10-IT设备),通过坐立位三次测量均值定义home OH(收缩压降≥20 mmHg或舒张压降≥10 mmHg)和home OHT(收缩压升≥20 mmHg);2)动脉硬化评估(颈动脉-股动脉脉搏波速度PWV);3)动脉粥样硬化标志物(冠脉钙化评分CACS和颈动脉超声斑块检测)。
研究结果
家庭直立性低血压的临床特征
6.4%的受试者存在home OH,其PWV显著增高(9.2±1.4 vs 8.9±1.3 m/s,P=0.005),冠脉钙化(CACS≥100)风险增加53%(17.4% vs 11.6%),65.5%存在颈动脉斑块(vs 55.3%)。

家庭直立性高血压的表型差异
3.1%的home OHT患者虽未显示CACS升高,但64.7%存在颈动脉斑块(P=0.027),且伴随更高BMI(29.3±5.5 kg/m2)和空腹血糖(6.0±1.3 mmol/L),提示代谢异常可能驱动此类血压反应。
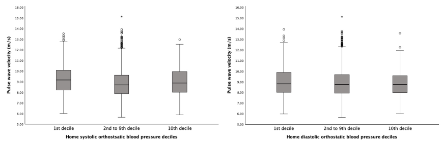
血压反应连续谱的U型风险
分析血压变化十分位发现,两端异常反应(第1与第10十分位)均与PWV升高相关,但仅低反应端(第1十分位)同时关联CACS和斑块风险,暗示OH可能反映更广泛的血管自主神经失调。
结论与意义
该研究首次证实家庭自测直立性血压异常是亚临床血管病变的"预警信号":home OH与动脉硬化和粥样硬化全面相关,而home OHT主要关联颈动脉斑块。创新性地提出将家庭直立血压监测纳入常规实践,其三重测量均值法(坐位3次+立位3次)比单次诊室测量更可靠。这些发现为2023年欧洲高血压学会指南新增的直立血压评估建议提供了实证支持,尤其对糖尿病、肥胖等高风险人群的早期干预具有重要价值。未来研究需纵向追踪这些血压表型与临床事件的关联,并探索居家监测对治疗决策的影响。
生物通微信公众号
知名企业招聘