
-
生物通官微
陪你抓住生命科技
跳动的脉搏
雾化硝酸甘油治疗新生儿持续性肺动脉高压的随机对照试验:改善氧合与心功能的创新疗法
【字体: 大 中 小 】 时间:2025年09月02日 来源:European Journal of Pediatrics 2.6
编辑推荐:
针对资源受限地区无法获取吸入一氧化氮(iNO)的困境,Alexandria大学团队开展随机对照试验,证实雾化硝酸甘油(NNG)可显著降低肺动脉收缩压(SPAP)、改善氧合指数(OI)和心肌性能指数(MPI),为新生儿持续性肺动脉高压(PPHN)提供安全有效的替代方案。
新生儿持续性肺动脉高压(PPHN)是威胁足月儿生命的危急重症,当胎儿出生后肺血管阻力未能正常下降时,会导致血液通过未闭的动脉导管(PDA)和卵圆孔右向左分流,造成顽固性低氧血症。尽管吸入一氧化氮(iNO)是标准疗法,但其高昂成本和设备要求使全球多数地区难以普及。面对这一临床困境,Alexandria大学的Marwa Mohammed Farag团队探索了雾化硝酸甘油(NNG)这一廉价易得的替代方案,相关成果发表在《European Journal of Pediatrics》。
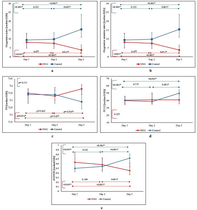
研究采用单中心随机对照设计,在Alexandria大学附属医院NICU纳入80例72小时内确诊的PPHN患儿,通过随机区组分为NNG组(40例)和对照组。干预组在常规治疗基础上每4小时接受2.5μg/kg/min NNG雾化。通过系列超声心动图评估肺动脉压力(SPAP)、心室功能(EF/FS/TAPSE)及血流动力学参数(RVO/LVO),同时监测氧合指数(OI)等临床指标。
【主要技术方法】
随机化设计:采用4-6大小的随机排列区组,通过计算机生成序列号卡片分配
超声评估:使用GE Vivid iq设备进行三次扫描(干预前、24/48小时后),测量SPAP/SSP(收缩期肺动脉压与体循环压比值)、TD-MPI(组织多普勒心肌性能指数)等参数
临床监测:持续记录血流动力学、血气分析及呼吸支持参数,计算OI=MAP×FiO2×100/PaO2和OSI(氧饱和度指数)
【研究结果】
氧合改善:NNG组第2-3天OI和OSI显著优于对照组(p<0.05),pH值更高而PaCO2更低

肺动脉压下降:初始较高的SPAP/SSP比值在NNG组第3天显著降低(0.59±0.15 vs 0.78±0.21,p<0.001)
心功能增强:NNG组右心室TAPSE(7.8±1.5mm vs 6.1±1.3mm)和LVO(218±56ml/kg/min vs 178±49ml/kg/min)显著改善
临床转归:NNG组HFOV使用率更低(12.5% vs 35%),机械通气时间缩短(5.3±2.1天 vs 7.8±3.4天)
【结论与意义】
该研究证实NNG通过NO-cGMP通路产生选择性肺血管舒张作用,显著改善PPHN患儿的氧合与血流动力学。其优势在于:①成本仅为iNO的1/10;②使用普通雾化器即可给药;③不引起全身低血压。尽管存在单中心研究和短期随访的局限,但为资源有限地区提供了切实可行的解决方案。如作者所述:"NNG might be a promising alternative therapy for PPHN",这项研究为全球每年约2%的PPHN患儿带来了新的治疗希望。
生物通微信公众号
知名企业招聘