
-
生物通官微
陪你抓住生命科技
跳动的脉搏
全球绝经后妇女骨质疏松症负担的流行病学洞察:基于2021年全球疾病负担研究的跨时代分析
【字体: 大 中 小 】 时间:2025年09月02日 来源:npj Aging 6
编辑推荐:
本研究基于GBD 2021数据,首次系统评估了204个国家/地区绝经后妇女(PMW)低骨密度(LBMD)的疾病负担。结果显示:LBMD导致全球PMW年死亡21.9万例,DALYs达776万,南亚地区负担最重。研究揭示了SDI区域间"高死亡率-高残疾"的分化模式,并预测至2045年疾病负担将持续增长。该成果为制定年龄分层、区域差异化的骨质疏松防控策略提供了关键证据。
随着全球人口老龄化加速,骨质疏松症已成为威胁绝经后妇女健康的"隐形杀手"。这种以骨量减少和微结构破坏为特征的疾病,导致骨骼脆性增加和骨折风险上升,在雌激素水平骤降的绝经后女性中尤为突出。尽管已知雌激素缺乏会通过RANK/RANKL/OPG轴和Wnt/β-catenin信号通路等机制加速骨流失,但长期以来缺乏对全球范围内疾病负担的系统量化。更棘手的是,不同发展水平地区在诊断能力、治疗可及性方面存在巨大差异,使得骨质疏松防控面临"高收入地区残疾率高、低收入地区死亡率高"的二元困境。
为破解这一难题,Haofeng Liang等学者在《npj Aging》发表了突破性研究。团队利用GBD 2021数据库,采用DisMod-MR 2.1模型对204个国家1990-2021年的流行病学数据进行标准化分析。通过计算年龄标准化率(ASR)、估计年百分比变化(EAPC)等指标,结合贝叶斯年龄-时期-队列(BAPC)模型预测疾病趋势,并运用不平等斜率指数(SII)评估健康差异。
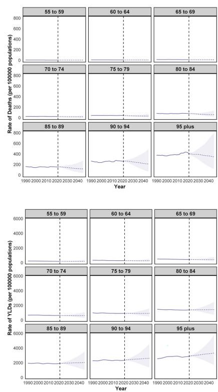
研究发现PMW占全球女性人口20%,却承担了93.8%的LBMD相关死亡和85.4%的DALYs。2021年全球LBMD导致PMW死亡21.9万例,DALYs达776万,年龄标准化DALY率为979.2/10万。与绝经前女性相比,PMW的死亡率高出15.17倍,YLDs负担高出6.29倍。

南亚成为疾病负担"震中",印度DALYs率达2100.67/10万。高SDI地区呈现"低死亡率-高残疾"特征,如澳大利亚YLDs率达985.02/10万;而低SDI地区如东非撒哈拉死亡率达54.10/10万。1990-2021年间,高收入北美地区死亡率EAPC增长2.05%,反映老龄化加剧的影响。

80-84岁年龄组负担最重,但95岁以上人群ASR增长最快。预计到2045年,95+岁女性YLDs率将达3336.83/10万,是90-94岁组的2倍。

该研究首次绘制了全球PMW骨质疏松负担的完整图谱,揭示了三个关键转变:从生物学机制研究转向公共卫生实践、从单一治疗转向全生命周期管理、从均质化策略转向SDI适配干预。作者建议:低收入地区应优先建立骨折联络服务(FLS)和钙/维生素D补充计划,而高收入地区需加强社区康复和跌倒预防。针对95+岁超高龄人群,亟需开发肾功友好型抗骨吸收药物并完善多病共管模式。这些发现为实现WHO"健康老龄化"目标提供了数据驱动的决策依据。

这项研究不仅量化了骨代谢疾病的全球不平等,更提出了一个深刻命题:在人口结构剧变时代,骨质疏松防治成效将成为衡量医疗卫生系统韧性的新标尺。
生物通微信公众号
知名企业招聘