
-
生物通官微
陪你抓住生命科技
跳动的脉搏
综述:重症监护病房谵妄的血清生物标志物:系统评价与机制分类框架
【字体: 大 中 小 】 时间:2025年09月02日 来源:Intensive Care Medicine Experimental 3.1
编辑推荐:
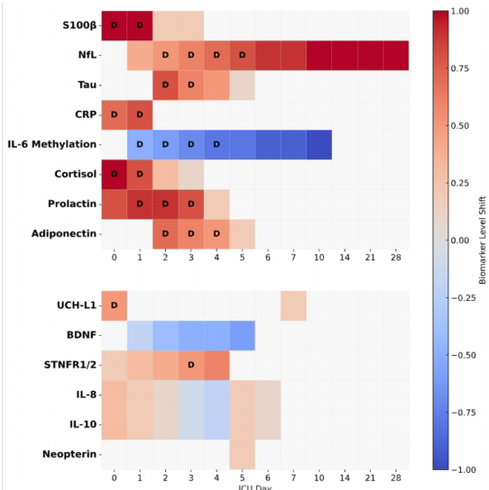
这篇综述系统评价了28项研究,聚焦54种血清生物标志物在ICU谵妄(Delirium)中的诊断价值与病理机制。核心发现:S100β和神经丝轻链(NfL)等中枢神经系统(CNS)损伤标志物关联性最强,支持星形胶质细胞和轴突损伤假说;炎症标志物(如IL-6、CRP)结果异质性高,反映系统炎症的非特异性;提出"机制内型分类"新框架,整合多组学标志物与临床表型,为精准诊疗提供新思路。
重症监护病房谵妄的血清生物标志物研究进展
摘要
谵妄作为危重疾病的常见并发症,其病理生理机制尚未完全阐明。血清生物标志物为理解这一综合征提供了新视角。本文系统评价了28项研究中的54种标志物,发现中枢神经系统损伤标志物(如S100β和NfL)展现出最稳定的关联性,而炎症标志物则呈现高度异质性。基于现有证据,提出了整合生物标志物与临床表型的机制内型分类框架。
引言
谵妄是以急性认知功能障碍为特征的神经精神综合征,影响高达80%的机械通气ICU患者。其发病机制涉及脑能量代谢失衡、神经炎症、神经递质紊乱等多重通路。血清生物标志物因其无创性和可及性,成为探索谵妄病理机制的重要工具。
研究方法
本综述严格遵循PRISMA指南,纳入2004-2024年间28项研究。通过质量评估工具(QUADAS-2)评价方法学质量,采用叙述性综合法分析数据。生物标志物按机制分为6类:CNS损伤、免疫激活、神经递质、激素、凝血和氨基酸代谢相关标志物。
主要发现
中枢神经系统损伤标志物
S100β(星形胶质细胞损伤标志)在7项研究中显示与谵妄严重度正相关,阈值>0.15μg/L时具有显著预测价值。神经丝轻链(NfL)作为轴突损伤标志,其浓度与谵妄持续时间呈剂量依赖性关系——谵妄≥7天的患者NfL水平较短期谵妄患者高3倍。值得注意的是,在COVID-19相关谵妄患者中,NfL和胶质纤维酸性蛋白(GFAP)的动态升高模式尤为显著。

炎症标志物
尽管IL-6、CRP和TNF-α等炎症因子被广泛研究,但其关联性存在明显矛盾。最新研究发现中性粒细胞-淋巴细胞比值(NLR)升高和淋巴细胞-单核细胞比值(LMR)降低与谵妄发生率显著相关,提示细胞免疫失衡可能参与发病。在败血症相关谵妄中,可溶性肿瘤坏死因子受体(sTNFR1/2)展现出优于传统炎症标志物的预测价值。
神经递质与代谢标志物
色氨酸/大中性氨基酸(Trp/LNAA)比值呈现"U型"关联——极高或极低比值均增加谵妄风险,支持氨基酸代谢紊乱假说。但血清素、P物质等神经递质标志物未能显示一致性关联,反映外周标志物在反映中枢神经递质活动方面的局限性。
激素标志物
皮质醇和催乳素表现出时间依赖性变化模式。高催乳素水平持续4天以上的患者谵妄风险增加2.3倍,而低瘦素水平与后续谵妄发生显著相关。这些发现支持神经内分泌轴失调在谵妄中的作用。
机制内型分类框架
基于现有证据,提出谵妄的四种潜在内型:
神经炎症型:以IL-6、CRP升高为特征
神经损伤型:S100β、NfL显著升高
代谢-内分泌型:皮质醇/催乳素异常伴氨基酸失衡
混合型:多重通路共同作用

研究局限与未来方向
当前研究存在三大局限:谵妄评估工具不一致(仅50%研究使用CAM-ICU+RASS≥-3标准)、采样时间点异质性(仅21%进行纵向采样)、缺乏多中心验证。未来研究应着重:1)标准化采样流程;2)开发多模态组合标志物;3)结合EEG和影像学验证;4)开展机制干预研究。
结论
血清生物标志物为理解ICU谵妄的异质性提供了新视角。虽然S100β和NfL等标志物已显示出潜力,但临床转化仍需大规模验证。机制内型分类框架的提出,为未来开发精准诊疗策略奠定了理论基础。
生物通微信公众号
知名企业招聘