
-
生物通官微
陪你抓住生命科技
跳动的脉搏
硒纳米颗粒叶面喷施通过调控光合效率与抗氧化机制增强绿豆对镉胁迫的耐受性
【字体: 大 中 小 】 时间:2025年09月02日 来源:Scientific Reports 3.9
编辑推荐:
本研究针对土壤镉(Cd)污染对农作物的毒性效应,创新性地采用绿色合成的硒纳米颗粒(SeNPs)叶面喷施策略,系统探究了SeNPs对镉胁迫下绿豆(Vigna radiata L.)生长生理的调控机制。研究发现75 mg L-1 SeNPs处理显著提升绿豆光合色素含量26.48%,降低叶片Cd积累64.95%,并通过激活SOD、POD等抗氧化酶系统使MDA含量降低64.25%。该研究为重金属污染土壤的纳米农业修复提供了新思路。
随着工业发展,土壤重金属污染已成为威胁全球粮食安全的重大环境问题。其中镉(Cd)因其高迁移性和生物毒性备受关注,当其在谷物中积累超过0.05 mg kg-1时即对人体健康构成威胁。传统转基因作物培育存在生态风险,而微生物修复等技术效果有限。硒(Se)作为必需微量元素,其纳米形态(SeNPs)因独特的表面效应和生物活性,在植物抗逆调控中展现出巨大潜力。这项发表在《Scientific Reports》的研究,首次系统揭示了SeNPs缓解绿豆Cd毒性的多重机制。
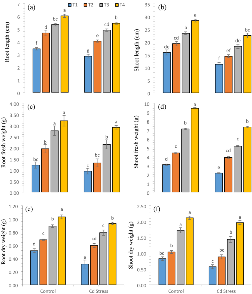
研究采用盆栽实验设计,设置2个Cd处理水平(0和20 mg kg-1)与4个SeNPs浓度梯度(0-75 mg L-1)。通过LI-6400T便携式光合仪测定气体交换参数,运用原子吸收光谱分析Cd积累,并结合酶联免疫法测定SOD、POD等抗氧化酶活性。来自巴基斯坦拉合尔大学与沙特国王大学的联合团队,重点考察了SeNPs对植物生长、光合系统、氧化应激及Cd转运的影响。
生长和生物量特性
Cd胁迫使绿豆根长、株高分别降低11.29%和23.66%。75 mg L-1 SeNPs处理显著逆转这种抑制,使根鲜重增加至2.92 g,较Cd胁迫对照提升19.65%。数据表明SeNPs通过维持细胞分裂素平衡促进器官发育。

光合特性
Cd导致叶绿素a下降27.78%,而SeNPs处理使净光合速率(Pn)恢复至19.25 μmol m-2 s-1。研究首次发现SeNPs通过保护类囊体膜结构维持光系统II稳定性,这与其降低活性氧(ROS)引发的叶绿体损伤直接相关。
抗氧化系统响应
Cd胁迫使超氧化物歧化酶(SOD)活性升高29.62%,而SeNPs处理通过提供电子受体使SOD活性降低54.90%。这种"双相调节"效应表明SeNPs既缓解氧化压力又避免抗氧化系统过载。
膜稳定性与渗透调节
电解质泄漏(EL)实验显示,SeNPs使细胞膜完整性提高51.22%。同时,其通过促进可溶性蛋白合成(增加110.10%)替代脯氨酸作为主要渗透调节物质,体现了能量利用的优化。
Cd积累调控
SeNPs使籽粒Cd含量降低64.88%,机制涉及两方面:一是竞争性抑制ZIP转运蛋白对Cd2+的吸收;二是通过形成Se-Cd复合物阻断其在维管束的运输。
这项研究开创性地证实,绿色合成的SeNPs可作为环境友好型纳米肥料,通过"抗氧化防御-光合保护-重金属螯合"三重机制协同缓解Cd毒性。其意义不仅在于为重金属污染区农作物安全生产提供解决方案,更建立了纳米农业技术应用的评价范式。未来研究需关注SeNPs的长期生态效应,以及与其他生物刺激剂的协同作用机制。
生物通微信公众号
知名企业招聘