
-
生物通官微
陪你抓住生命科技
跳动的脉搏
运动员自恋与自我关怀对兴奋剂使用的跨文化心理机制研究
【字体: 大 中 小 】 时间:2025年09月04日 来源:Harm Reduction Journal 4
编辑推荐:
本研究针对全球反兴奋剂运动中忽视的心理社会因素,通过英国、美国和中国499名高水平运动员的多国调查,首次揭示了自恋特质(尤其是脆弱型自恋)与自我关怀(self-compassion)的交互作用对兴奋剂道德脱离(DM)和使用意愿(DW)的影响。研究发现自我关怀能缓解脆弱型自恋带来的兴奋剂风险,而心理韧性(resilient coping)是跨文化一致的保护机制。该成果为反兴奋剂教育提供了新靶点,发表于《Harm Reduction Journal》。
在竞技体育的激烈竞争中,兴奋剂使用始终是威胁体育公平与运动员健康的顽疾。尽管全球反兴奋剂机构不断强化检测手段,但传统预防措施对心理社会因素的忽视导致"治标不治本"的困境。最新研究表明,运动员的自我认知特征——特别是自恋(narcissism)与自我关怀(self-compassion)的复杂互动,可能是理解兴奋剂行为的关键突破口。这项由Shuge Zhang等学者开展的多国研究,首次在英美中三国高水平运动员群体中,揭示了"自我"相关心理特质影响兴奋剂行为的跨文化机制。
研究采用问卷调查法,对499名国家级以上运动员(含10%国际级)进行横断面研究。通过Doping Moral Disengagement Scale-Short(DMDS-S)和Doping Willingness in Sport Scale(DWISS)评估兴奋剂风险,使用Narcissistic Personality Inventory-16(NPI-16)和Hypersensitive Narcissism Scale(HSNS)测量自恋特质,并引入Self-Compassion Scale-Short(SCS-S)和Fear of Self-Compassion(FSC)量表评估自我关怀。采用多变量多组调节模型分析数据,并控制教练/团队层面的混杂因素。
研究结果呈现三个关键发现:
自恋的"双面性"效应
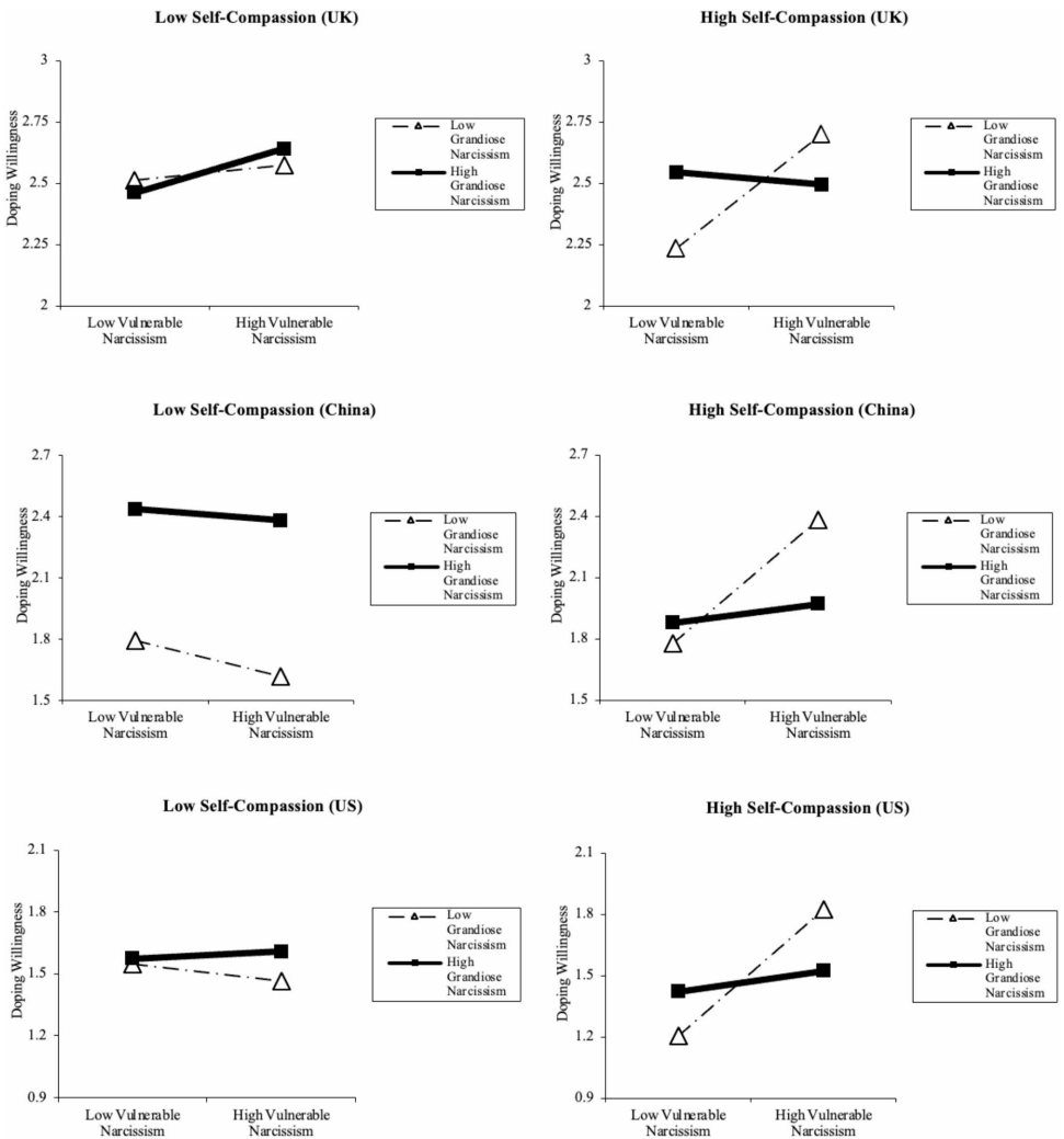
脆弱型自恋(vulnerable narcissism)在所有国家样本中均显著预测兴奋剂道德脱离(β=0.25,p=0.01),特别是在自大型自恋(grandiose narcissism)水平较低时。如图2所示,三国运动员均表现出相同的VN×GN交互模式:

自我关怀的保护作用
自我关怀显著放大自大型自恋的保护效应。如图3所示,当SC较高时,VN与DW的正向关系在GN低时更显著(β=0.31,p=0.01):

心理机制的跨文化差异
心理韧性(resilient coping)是三国共通的保护因子,通过该路径,SC对DM的间接效应均为负值(β=-0.05,p<0.05)。而恐惧失败(fear of failure)则呈现文化特异性:在中国促进兴奋剂(β=0.23,p=0.00),在英国抑制(β=-0.18,p=0.04),在美国无影响。
这项研究首次在跨文化背景下系统阐释了运动员自我认知特征与兴奋剂行为的关联机制。其重要意义体现在三个方面:首先,确认脆弱型自恋是兴奋剂风险的核心人格标记,为早期识别高风险运动员提供了新指标;其次,揭示自我关怀作为可干预的心理资源,能有效缓冲自恋相关风险;最后,发现心理韧性的普适保护作用,为制定文化适应性反兴奋剂策略提供了科学依据。研究建议未来反兴奋剂教育应纳入心理韧性训练,并针对不同文化背景调整对"失败恐惧"的干预策略。这些发现不仅丰富了运动心理学理论,也为WADA等机构完善预防体系提供了实证支持。
生物通微信公众号
知名企业招聘