
-
生物通官微
陪你抓住生命科技
跳动的脉搏
多西环素靶向治疗改善特定患者尿素原体感染相关精液质量异常的队列研究
【字体: 大 中 小 】 时间:2025年09月05日 来源:Basic and Clinical Andrology 2
编辑推荐:
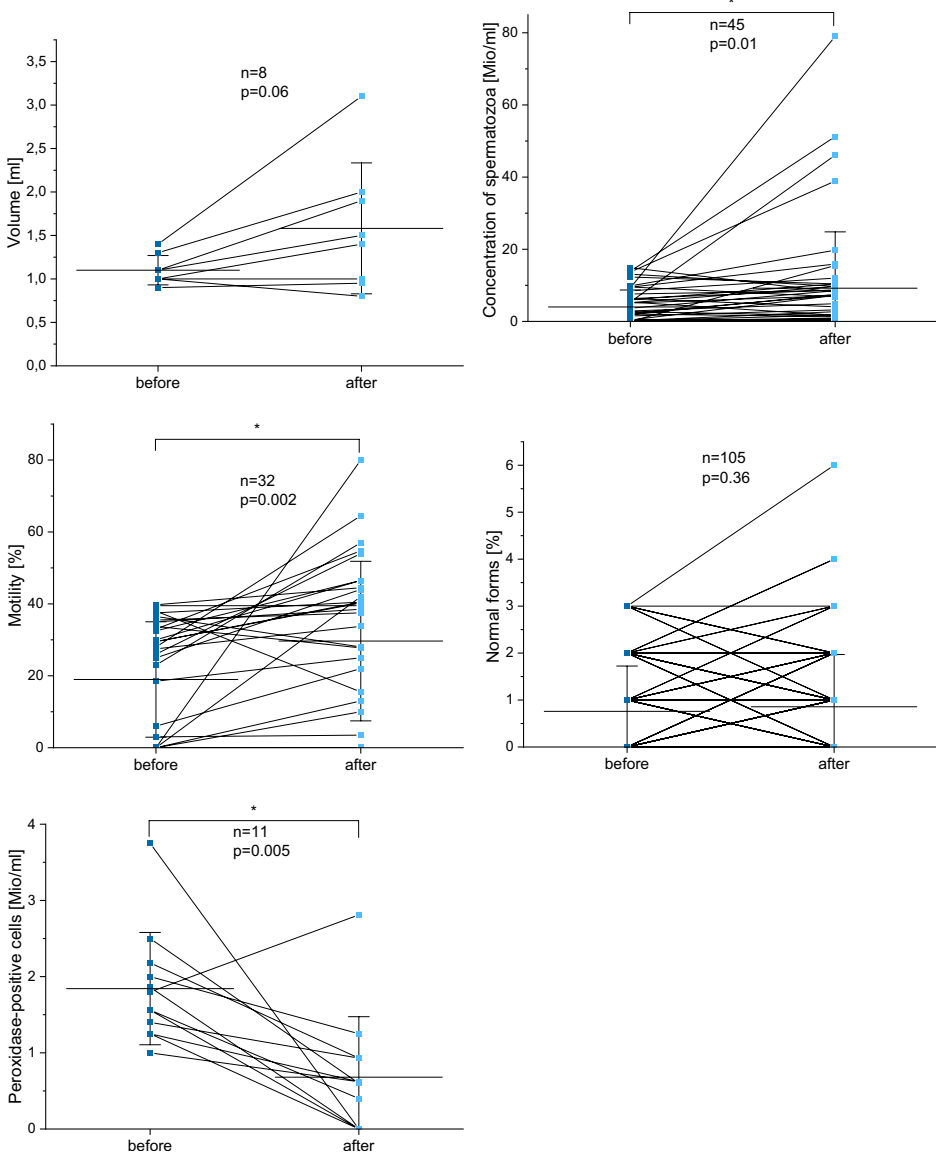
本研究针对男性不育中尿素原体(Ureaplasma parvum)感染与精液质量的关系这一临床争议问题,通过回顾性队列分析3,464份精液样本,发现12.4%感染率但仅精液量显著降低。创新性证实多西环素治疗可使基线异常患者的精子浓度(4.01→9.20 Mio/ml)和活力(18.97→29.66%)显著提升,同时降低过氧化物酶阳性白细胞(1.84→0.68 Mio/ml),为选择性抗生素治疗策略提供循证依据。
在当代社会,约50%的不孕不育案例与男性因素相关,其中泌尿生殖道感染作为潜在诱因日益受到关注。尿素原体(Ureaplasma parvum)作为常见定植菌,其临床意义长期存在争议——究竟是 harmless commensal(无害共生菌)还是 fertility thief(生育力窃贼)?这种认知鸿沟直接导致临床实践的混乱:部分医生主张对所有检测阳性者进行抗生素治疗,而另一些则认为这是过度医疗。更棘手的是,现有研究多将U. parvum与U. urealyticum混为一谈,而两者可能具有截然不同的致病特性。
这项发表在《Basic and Clinical Andrology》的研究犹如一盏探照灯,穿透了这团迷雾。德国杜塞尔多夫大学医院的研究团队Lindhof和Homey采用"精准狙击"策略,通过大规模回顾性队列分析结合靶向干预,首次明确了Ureaplasma parvum的临床边界——不是所有感染者都需要治疗,但对特定亚群而言,及时干预可能逆转生育危机。
研究人员采用三重技术路线:首先运用多重PCR技术对3,464份精液样本进行U. parvum特异性检测;其次严格遵循WHO第5版标准进行精液分析(包括精子浓度、活力、形态及过氧化物酶阳性白细胞计数);最后对确诊感染者实施标准化多西环素治疗(200mg/天×14天),并通过治疗前后配对样本比较疗效。所有检测均在同济大学医院男科实验室完成,确保方法学一致性。
【基线特征揭示感染边界】
分析显示U. parvum感染组精液量显著低于对照组(3.10±1.41 vs 3.45±1.79ml),但精子浓度(49.0±52.27 vs 48.6±61.6 Mio/ml)、活力(43.82±14.81% vs 43.03±15.33%)等核心参数无统计学差异。这提示单纯病原体检测阳性不足以作为治疗指征。
【精准治疗创造生育转机】
在124例完成治疗且微生物学治愈的患者中,基线异常者呈现戏剧性改善:精子浓度翻倍增长(4.01→9.20 Mio/ml,p=0.01),活力提升逾10个百分点(18.97%→29.66%,p=0.002)。更引人注目的是,3例基线无精症患者治疗后出现精子。炎症标志物同步改善,过氧化物酶阳性白细胞下降62%(1.84→0.68 Mio/ml,p=0.005)。

【分子机制提供理论支撑】
研究指出多西环素可能通过三重机制发挥作用:直接抗菌作用清除病原体;抑制基质金属蛋白酶减轻炎症;中和活性氧(ROS)保护精子膜完整性。这解释了为何炎症标志物升高者获益最显著。
这项研究为临床实践划出清晰界限:常规筛查U. parvum可能造成医疗浪费,但对精液参数异常且炎症标志物升高者,靶向抗生素治疗可显著改善生育潜力。其创新价值在于建立了"微生物-炎症-精液质量"的决策模型,推动男科诊疗从经验医学向精准医学跨越。未来研究可深入探索细胞因子谱与氧化应激标志物的预测价值,进一步完善个体化治疗策略。
生物通微信公众号
知名企业招聘